Suppr超能文献

益生菌和益生元在肠道定植致病菌去定植中的应用:临床结局的系统评价和荟萃分析。

The use of probiotics and prebiotics in decolonizing pathogenic bacteria from the gut; a systematic review and meta-analysis of clinical outcomes.

机构信息

Department of Microbiology, Faculty of Medicine, The Chinese University of Hong Kong, Prince of Wales Hospital, Sha Tin, N.T., Hong Kong (SAR), China.

Department of Food Technology and Nutritional Science, Mawlana Bhashani Science and Technology University, Tangail, Bangladesh.

出版信息

Gut Microbes. 2024 Jan-Dec;16(1):2356279. doi: 10.1080/19490976.2024.2356279. Epub 2024 May 22.

Abstract

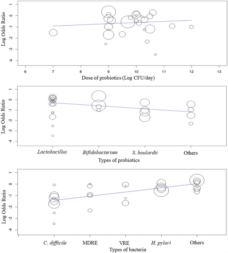
Repeated exposure to antibiotics and changes in the diet and environment shift the gut microbial diversity and composition, making the host susceptible to pathogenic infection. The emergence and ongoing spread of AMR pathogens is a challenging public health issue. Recent evidence showed that probiotics and prebiotics may play a role in decolonizing drug-resistant pathogens by enhancing the colonization resistance in the gut. This review aims to analyze available evidence from human-controlled trials to determine the effect size of probiotic interventions in decolonizing AMR pathogenic bacteria from the gut. We further studied the effects of prebiotics in human and animal studies. PubMed, Embase, Web of Science, Scopus, and CINAHL were used to collect articles. The random-effects model meta-analysis was used to pool the data. GRADE Pro and Cochrane collaboration tools were used to assess the bias and quality of evidence. Out of 1395 citations, 29 RCTs were eligible, involving 2871 subjects who underwent either probiotics or placebo treatment to decolonize AMR pathogens. The persistence of pathogenic bacteria after treatment was 22%(probiotics) and 30.8%(placebo). The pooled odds ratio was 0.59(95% CI:0.43-0.81), favoring probiotics with moderate certainty ( = 0.0001) and low heterogeneity ( = 49.2%,  = 0.0001). The funnel plot showed no asymmetry in the study distribution (Kendall'sTau = -1.06,  = 0.445). In subgroup, showed the highest decolonization (82.4%) in probiotics group. -based probiotics and decolonize 71% and 77% of pathogens effectively. The types of probiotics ( < 0.018) and pathogens ( < 0.02) significantly moderate the outcome of decolonization, whereas the dosages and regions of the studies were insignificant ( < 0.05). Prebiotics reduced the pathogens from 30% to 80% of initial challenges. Moderate certainty of evidence suggests that probiotics and prebiotics may decolonize pathogens through modulation of gut diversity. However, more clinical outcomes are required on particular strains to confirm the decolonization of the pathogens. Protocol registration: PROSPERO (ID = CRD42021276045).

摘要

反复接触抗生素以及饮食和环境的变化会改变肠道微生物的多样性和组成,使宿主容易受到病原体感染。抗生素耐药性病原体的出现和持续传播是一个具有挑战性的公共卫生问题。最近的证据表明,益生菌和益生元通过增强肠道定植抵抗力,可能在使耐药病原体去定植方面发挥作用。本综述旨在分析来自人体对照试验的现有证据,以确定益生菌干预在肠道去定植抗生素耐药性病原菌方面的效果大小。我们还研究了益生元在人体和动物研究中的作用。使用 PubMed、Embase、Web of Science、Scopus 和 CINAHL 收集文章。使用随机效应模型荟萃分析来汇总数据。使用 GRADE Pro 和 Cochrane 协作工具评估偏倚和证据质量。在 1395 条引文中有 29 项 RCT 符合条件,涉及 2871 名受试者,他们接受益生菌或安慰剂治疗以去定植抗生素耐药病原体。治疗后致病性细菌的持续存在率为 22%(益生菌)和 30.8%(安慰剂)。合并的优势比为 0.59(95%CI:0.43-0.81),表明益生菌的确定性为中等( = 0.0001)且异质性低( = 49.2%,  = 0.0001)。漏斗图显示研究分布无不对称性(肯德尔的 Tau 值为-1.06,  = 0.445)。在亚组中,显示益生菌组的最高去定植率(82.4%)。基于 的益生菌和 有效去定植 71%和 77%的病原体。益生菌的类型( < 0.018)和病原体( < 0.02)显著调节去定植的结果,而研究的剂量和地区则无显著性差异( < 0.05)。益生元将病原体从初始挑战的 30%减少到 80%。中等确定性的证据表明,益生菌和益生元可能通过调节肠道多样性来使病原体去定植。然而,需要更多关于特定菌株的临床结果来证实病原体的去定植。方案注册:PROSPERO(ID = CRD42021276045)。

https://cdn.ncbi.nlm.nih.gov/pmc/blobs/89b6/11123511/5eb413ed2a60/KGMI_A_2356279_UF0001_OC.jpg

文献AI研究员

20分钟写一篇综述,助力文献阅读效率提升50倍。

立即体验

用中文搜PubMed

大模型驱动的PubMed中文搜索引擎

马上搜索

文档翻译

学术文献翻译模型,支持多种主流文档格式。

立即体验