Suppr超能文献

非高危和高危神经母细胞瘤患者外周血和骨髓中神经母细胞瘤相关mRNA的不同表达谱

Distinct Expression Profiles of Neuroblastoma-Associated mRNAs in Peripheral Blood and Bone Marrow of Non-High-Risk and High-Risk Neuroblastoma Patients.

作者信息

Nakatani Naoko, Win Kaung Htet Nay, Mon Cho Yee, Fujikawa Tomoko, Uemura Suguru, Saito Atsuro, Ishida Toshiaki, Mori Takeshi, Hasegawa Daiichiro, Kosaka Yoshiyuki, Inoue Shotaro, Nishimura Akihiro, Nino Nanako, Tamura Akihiro, Yamamoto Nobuyuki, Nozu Kandai, Nishimura Noriyuki

机构信息

Department of Pediatrics, Kobe University Graduate School of Medicine, Kobe 650-0017, Japan.

Department of Public Health, Kobe University Graduate School of Health Science, Kobe 654-0142, Japan.

出版信息

Biology (Basel). 2024 May 15;13(5):345. doi: 10.3390/biology13050345.

Abstract

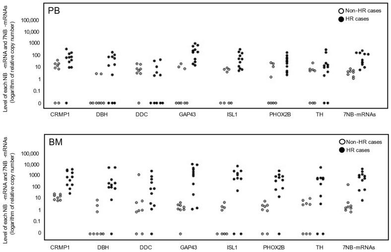
Non-high-risk (non-HR) neuroblastoma (NB) patients have excellent outcomes, with more than a 90% survival rate, whereas HR NB patients expect less than a 50% survival rate. Metastatic disease is the principal cause of death among both non-HR and HR NB patients. Previous studies have reported the significant but limited prognostic value of quantitative PCR (qPCR)-based assays, measuring overlapping but different sets of neuroblastoma-associated mRNAs (NB-mRNAs), to detect metastatic disease in both non-HR and HR patient samples. A droplet digital PCR (ddPCR)-based assay measuring seven NB-mRNAs (CRMP1, DBH, DDC, GAP43, ISL1, PHOX2B, and TH mRNAs) was recently developed and exhibited a better prognostic value for HR patient samples than qPCR-based assays. However, it remained to be tested on non-HR patient samples. In the present study, we employed the ddPCR-based assay to study peripheral blood (PB) and bone marrow (BM) samples collected at diagnosis from eight non-HR and eleven HR cases and characterized the expression profiles of NB-mRNAs. The most highly expressed NB-mRNAs in PB and BM differed between non-HR and HR cases, with the CRMP1 mRNA being predominant in non-HR cases and the GAP43 mRNA in HR cases. The levels of NB-mRNAs in PB and BM were 5 to 1000 times lower in non-HR cases than in HR cases. The PB to BM ratio of NB-mRNAs was 10 to 100 times higher in non-HR cases compared to HR cases. The present case series suggests that non-HR and HR NB patients have the distinct expression profiles of NB-mRNAs in their PB and BM.

摘要

非高危(non-HR)神经母细胞瘤(NB)患者预后良好,生存率超过90%,而HR NB患者的生存率则低于50%。转移性疾病是导致非HR和HR NB患者死亡的主要原因。此前的研究报道了基于定量PCR(qPCR)的检测方法在检测非HR和HR患者样本中的转移性疾病方面具有显著但有限的预后价值,这些检测方法测量的是与神经母细胞瘤相关的mRNA(NB-mRNAs)重叠但不同的集合。最近开发了一种基于液滴数字PCR(ddPCR)的检测方法,可测量7种NB-mRNAs(CRMP1、DBH、DDC、GAP43、ISL1、PHOX2B和TH mRNA),对于HR患者样本,该方法显示出比基于qPCR的检测方法更好的预后价值。然而,该方法在非HR患者样本中的效果仍有待测试。在本研究中,我们采用基于ddPCR的检测方法,对8例非HR和11例HR病例在诊断时采集的外周血(PB)和骨髓(BM)样本进行研究,并对NB-mRNAs的表达谱进行了特征分析。非HR和HR病例的PB和BM中表达最高的NB-mRNAs有所不同,CRMP1 mRNA在非HR病例中占主导地位,而GAP43 mRNA在HR病例中占主导地位。非HR病例的PB和BM中NB-mRNAs的水平比HR病例低5至1000倍。与HR病例相比,非HR病例中NB-mRNAs的PB与BM比值高10至100倍。本病例系列表明,非HR和HR NB患者的PB和BM中NB-mRNAs具有不同的表达谱。

https://cdn.ncbi.nlm.nih.gov/pmc/blobs/1923/11117621/b77d9418c117/biology-13-00345-g001.jpg

文献AI研究员

20分钟写一篇综述,助力文献阅读效率提升50倍。

立即体验

用中文搜PubMed

大模型驱动的PubMed中文搜索引擎

马上搜索

文档翻译

学术文献翻译模型,支持多种主流文档格式。

立即体验