Suppr超能文献

用于预测胃肠道间质瘤患者生存情况的列线图:一项基于监测、流行病学和最终结果数据库的研究

A nomogram for predicting survival in patients with gastrointestinal stromal tumor: a study based on the surveillance, epidemiology, and end results database.

作者信息

Li Xiaxi, You Lijuan, Liu Qinghua, He Wenhua, Cui Xiaobing, Gong Wei

机构信息

Department of Gastroenterology, Shenzhen Hospital of Southern Medicine University, Shenzhen, China.

出版信息

Front Med (Lausanne). 2024 May 23;11:1403189. doi: 10.3389/fmed.2024.1403189. eCollection 2024.

Abstract

PURPOSE

The objective of this investigation was to construct and validate a nomogram for prognosticating cancer-specific survival (CSS) in patients afflicted with gastrointestinal stromal tumor (GIST) at 3-, 5-, and 8-years post-diagnosis.

METHODS

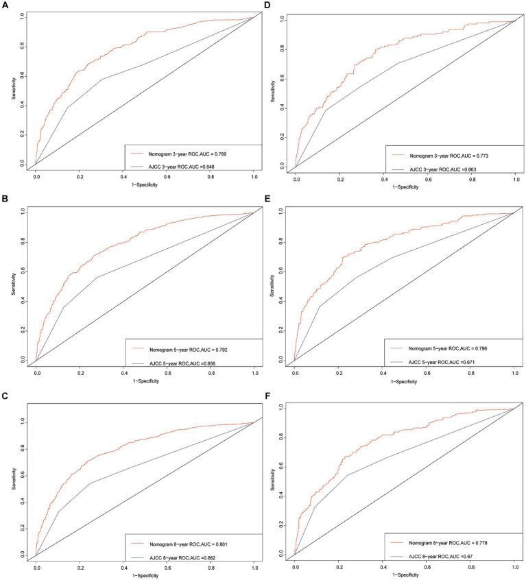
Data pertaining to patients diagnosed with GIST were acquired from the Surveillance, Epidemiology, and End Results (SEER) database. Through random selection, a training cohort (70%) and a validation cohort (30%) were established from the patient population. Employing a backward stepwise Cox regression model, independent prognostic factors were identified. Subsequently, these factors were incorporated into the nomogram to forecast CSS rates at 3-, 5-, and 8-years following diagnosis. The nomogram's performance was assessed using indicators such as the consistency index (C-index), the area under the time-dependent receiver operating characteristic curve (AUC), the net reclassification improvement (NRI), the integrated discrimination improvement (IDI), calibration curves, and decision-curve analysis (DCA).

RESULTS

This investigation encompassed a cohort of 3,062 GIST patients. By analyzing the Cox regression model within the training cohort, nine prognostic factors were identified: age, sex, race, marital status, AJCC (American Joint Committee on Cancer) stage, surgical status, chemotherapy status, radiation status, and income status. The nomogram was subsequently developed and subjected to both internal and external validation. The nomogram exhibited favorable discrimination abilities, as evidenced by notably high C-indices and AUC values. Calibration curves confirmed the nomogram's reliability. Moreover, the nomogram outperformed the AJCC model, as demonstrated by enhanced NRI and IDI values. The DCA curves validated the clinical utility of the nomogram.

CONCLUSION

The present study has successfully constructed and validated the initial nomogram for predicting prognosis in GIST patients. The nomogram's performance and practicality suggest its potential utility in clinical settings. Nevertheless, further external validation is warranted.

摘要

目的

本研究旨在构建并验证一种列线图,用于预测胃肠道间质瘤(GIST)患者确诊后3年、5年和8年的癌症特异性生存率(CSS)。

方法

从监测、流行病学和最终结果(SEER)数据库中获取确诊为GIST患者的数据。通过随机选择,从患者群体中建立了一个训练队列(70%)和一个验证队列(30%)。采用向后逐步Cox回归模型确定独立预后因素。随后,将这些因素纳入列线图,以预测诊断后3年、5年和8年的CSS率。使用一致性指数(C指数)、时间依赖性受试者工作特征曲线下面积(AUC)、净重新分类改善(NRI)、综合判别改善(IDI)、校准曲线和决策曲线分析(DCA)等指标评估列线图的性能。

结果

本研究纳入了3062例GIST患者队列。通过分析训练队列中的Cox回归模型,确定了9个预后因素:年龄、性别、种族、婚姻状况、美国癌症联合委员会(AJCC)分期、手术状态、化疗状态、放疗状态和收入状况。随后开发了列线图并进行了内部和外部验证。列线图显示出良好的判别能力,C指数和AUC值显著较高证明了这一点。校准曲线证实了列线图的可靠性。此外,列线图的NRI和IDI值有所提高,表明其优于AJCC模型。DCA曲线验证了列线图的临床实用性。

结论

本研究成功构建并验证了首个用于预测GIST患者预后的列线图。列线图的性能和实用性表明其在临床环境中的潜在用途。然而,仍需进一步的外部验证。

https://cdn.ncbi.nlm.nih.gov/pmc/blobs/48d1/11153714/e83f50082dd1/fmed-11-1403189-g001.jpg

文献AI研究员

20分钟写一篇综述,助力文献阅读效率提升50倍。

立即体验

用中文搜PubMed

大模型驱动的PubMed中文搜索引擎

马上搜索

文档翻译

学术文献翻译模型,支持多种主流文档格式。

立即体验