Suppr超能文献

重金属从土壤向蔬菜的转移:不同灌溉水源的比较评估

Transfer of heavy metals from soil to vegetables: A comparative assessment of different irrigation water sources.

作者信息

Sharafi Kiomars, Omer Abdullah Khalid, Mansouri Borhan, Massahi Tooraj, Soleimani Hamed, Moradi Masoud, Parnoon Kimya, Ebrahimzadeh Gholamreza

机构信息

Social Development and Health Promotion Research Center, Health Institute, Kermanshah University of Medical Sciences, Kermanshah, Iran.

Department of Food Hygiene and Quality Control, Faculty of Veterinary Medicine, Urmia University, Urmia, Iran.

出版信息

Heliyon. 2024 Jun 6;10(11):e32575. doi: 10.1016/j.heliyon.2024.e32575. eCollection 2024 Jun 15.

Abstract

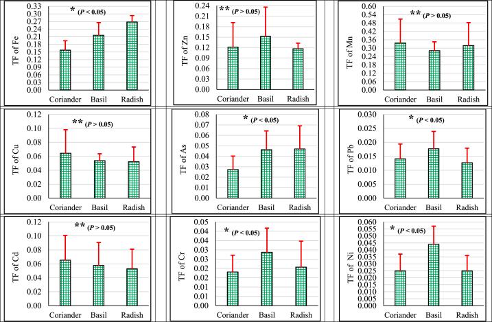
This study aimed to assess the transfer factor (TF) of heavy metals (HMs) from soil to commonly consumed vegetables irrigated with different water sources. The field study covered 36 m of agricultural land in Kermanshah province, Iran, divided into nine equal-sized plots. Coriander, basil, and radish were the three types of vegetables cultivated and subjected to irrigation over two months, utilizing three different water sources: treated wastewater effluent (TWE), river water (RW), and well water + nitrogen fertilizer (WWF). After the irrigation and harvesting stages, soil samples from the cultivation area and harvested vegetables were collected. These samples underwent analysis using the ICP-OES method to assess HM levels and subsequent calculation of the TF of HMs from soil to plants. The results revealed that the TF levels indicated plants' relatively weak response (TF < 1) to the absorption of HMs. For non-toxic elements (Mn, Fe, Zn, Cu, Ni), TF values were generally higher than those for toxic elements (Cd, As, Pb) across all three vegetable types and irrigation treatments. The study's findings suggest that the TF of HMs in the studied vegetables varied based on the irrigation source and vegetable type. Various factors, including the type of irrigation source and vegetable, influenced the TF of HMs, each having different impacts on the transfer rate of each HM. The study highlights the importance of monitoring irrigation water and soil quality to prevent the accumulation of HMs in cultivated vegetables, thereby mitigating potential risks to human health.

摘要

本研究旨在评估不同水源灌溉下,重金属从土壤向常见食用蔬菜的转移因子(TF)。该田间研究涵盖了伊朗克尔曼沙阿省36平方米的农田,分为九个大小相等的地块。种植了香菜、罗勒和萝卜三种蔬菜,并在两个月内使用三种不同水源进行灌溉:经处理的废水(TWE)、河水(RW)以及井水+氮肥(WWF)。在灌溉和收获阶段结束后,采集了种植区域的土壤样本和收获的蔬菜样本。使用电感耦合等离子体发射光谱法(ICP-OES)对这些样本进行分析,以评估重金属含量,并随后计算重金属从土壤到植物的转移因子。结果显示,转移因子水平表明植物对重金属吸收的反应相对较弱(TF<1)。对于所有三种蔬菜类型和灌溉处理,无毒元素(锰、铁、锌、铜、镍)的转移因子值通常高于有毒元素(镉、砷、铅)。该研究结果表明,所研究蔬菜中重金属的转移因子因灌溉水源和蔬菜类型而异。包括灌溉水源和蔬菜类型在内的各种因素影响了重金属的转移因子,每种因素对每种重金属的转移率都有不同影响。该研究强调了监测灌溉水和土壤质量对于防止种植蔬菜中重金属积累的重要性,从而降低对人类健康的潜在风险。

https://cdn.ncbi.nlm.nih.gov/pmc/blobs/8d84/11219507/30a9c3f84f8a/gr1.jpg

文献AI研究员

20分钟写一篇综述,助力文献阅读效率提升50倍。

立即体验

用中文搜PubMed

大模型驱动的PubMed中文搜索引擎

马上搜索

文档翻译

学术文献翻译模型,支持多种主流文档格式。

立即体验