Suppr超能文献

在饲喂添加褐藻提取物日粮的肉鸡中不存在对[此处原文缺失具体内容]的定植抗性。

No colonization resistance to in broilers fed brown algal extract-supplemented diets.

作者信息

Eliasson Eliška, Sun Li, Cervin Gunnar, Pavia Henrik, Tällberg Gustav, Ellström Patrik, Ivarsson Emma

机构信息

Department of Applied Animal Science and Welfare, Swedish University of Agricultural Sciences, Uppsala, Sweden.

Department of Marine Sciences, Tjärnö, University of Gothenburg, Strömstad, Sweden.

出版信息

Front Microbiol. 2024 Jun 27;15:1396949. doi: 10.3389/fmicb.2024.1396949. eCollection 2024.

Abstract

INTRODUCTION

gastroenteritis is the most commonly reported zoonosis within the EU, with poultry products regarded as the primary source of transmission to humans. Therefore, finding strategies to reduce colonization in broilers holds importance for public health. Recent studies suggest that supplementation of broiler feed with brown algal extracts, particularly laminarin, can provide beneficial effects on broiler gut health, growth performance, and gut microbiota. However, its effect on gut microbiota development and subsequent reduction of loads in broiler caeca during the later stages of the birds' lives remains unclear.

METHODS

Experimental colonization of Ross 308 broilers with two different strains of was conducted, with groups fed either a basal diet or the same basal diet supplemented with 725 ppm algal extract from to provide 290 ppm laminarin. Fecal samples were collected for bacterial enumeration, and caecal samples were obtained before and after the challenge for the determination of microbiota development.

RESULTS AND DISCUSSION

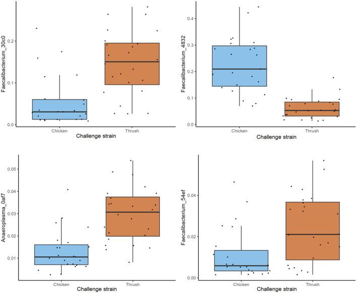
No significant differences in fecal concentrations between the groups fed different diets or exposed to different strains were observed. This suggests that both strains colonized the birds equally well and that the laminarin rich algal extract did not have any inhibitory effect on colonization. Notably, 16S rRNA amplicon sequencing revealed detailed data on the caecal microbiota development, likely influenced by both bird age and colonization, which can be valuable for further development of broiler feed formulations aimed at promoting gut health.

摘要

引言

肠胃炎是欧盟报告最多的人畜共患病,家禽产品被视为传播给人类的主要来源。因此,寻找减少肉鸡定植的策略对公共卫生至关重要。最近的研究表明,在肉鸡饲料中添加褐藻提取物,特别是海带多糖,可对肉鸡肠道健康、生长性能和肠道微生物群产生有益影响。然而,其对鸟类生命后期肉鸡盲肠微生物群发育及随后减少盲肠负荷的影响仍不清楚。

方法

用两种不同菌株对罗斯308肉鸡进行实验性定植,一组饲喂基础日粮,另一组饲喂添加725 ppm来自[具体褐藻]的藻类提取物(提供290 ppm海带多糖)的相同基础日粮。采集粪便样本进行细菌计数,并在[具体细菌名称]攻毒前后获取盲肠样本以测定微生物群发育情况。

结果与讨论

在饲喂不同日粮或暴露于不同[具体细菌名称]菌株的组之间,粪便[具体细菌名称]浓度未观察到显著差异。这表明两种菌株在鸟类体内的定植效果相同,富含海带多糖的藻类提取物对[具体细菌名称]定植没有任何抑制作用。值得注意的是,16S rRNA扩增子测序揭示了盲肠微生物群发育的详细数据,这可能受鸟类年龄和[具体细菌名称]定植的影响,对于旨在促进肠道健康的肉鸡饲料配方的进一步开发可能具有重要价值。

https://cdn.ncbi.nlm.nih.gov/pmc/blobs/b792/11236747/2f3fdebe9601/fmicb-15-1396949-g0001.jpg

文献AI研究员

20分钟写一篇综述,助力文献阅读效率提升50倍。

立即体验

用中文搜PubMed

大模型驱动的PubMed中文搜索引擎

马上搜索

文档翻译

学术文献翻译模型,支持多种主流文档格式。

立即体验