Suppr超能文献

鉴定新型 GANT61 类似物在 Hedgehog 功能测定和 GLI1 依赖性癌细胞中的活性。

Identification of Novel GANT61 Analogs with Activity in Hedgehog Functional Assays and GLI1-Dependent Cancer Cells.

机构信息

INBS PhD Program, North Carolina Central University, Durham, NC 27707, USA.

Biomanufacturing Research Institute and Technology Enterprise, North Carolina Central University, Durham, NC 27707, USA.

出版信息

Molecules. 2024 Jun 28;29(13):3095. doi: 10.3390/molecules29133095.

Abstract

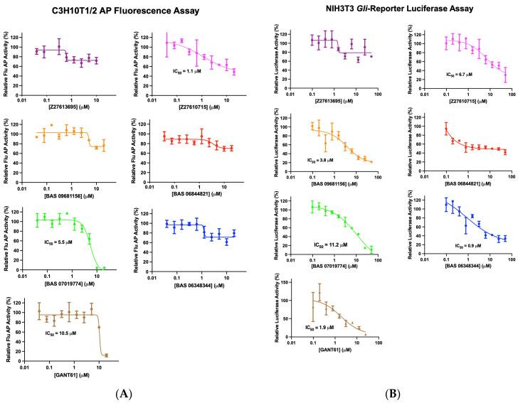
Aberrant activation of hedgehog (Hh) signaling has been implicated in various cancers. Current FDA-approved inhibitors target the seven-transmembrane receptor Smoothened, but resistance to these drugs has been observed. It has been proposed that a more promising strategy to target this pathway is at the GLI1 transcription factor level. GANT61 was the first small molecule identified to directly suppress GLI-mediated activity; however, its development as a potential anti-cancer agent has been hindered by its modest activity and aqueous chemical instability. Our study aimed to identify novel GLI1 inhibitors. JChem searches identified fifty-two compounds similar to GANT61 and its active metabolite, GANT61-D. We combined high-throughput cell-based assays and molecular docking to evaluate these analogs. Five of the fifty-two GANT61 analogs inhibited activity in Hh-responsive C3H10T1/2 and Gli-reporter NIH3T3 cellular assays without cytotoxicity. Two of the GANT61 analogs, BAS 07019774 and Z27610715, reduced mRNA expression in C3H10T1/2 cells. Treatment with BAS 07019774 significantly reduced cell viability in Hh-dependent glioblastoma and lung cancer cell lines. Molecular docking indicated that BAS 07019774 is predicted to bind to the ZF4 region of GLI1, potentially interfering with its ability to bind DNA. Our findings show promise in developing more effective and potent GLI inhibitors.

摘要

Hedgehog (Hh) 信号通路的异常激活与多种癌症有关。目前,美国食品和药物管理局 (FDA) 批准的抑制剂针对跨膜受体 Smoothened,但已观察到对这些药物的耐药性。有人提出,针对该途径的更有前途的策略是在 GLI1 转录因子水平上。GANT61 是第一个被确定为直接抑制 GLI 介导的活性的小分子;然而,由于其活性适中且在水中化学不稳定,其作为潜在抗癌剂的开发受到阻碍。我们的研究旨在确定新型 GLI1 抑制剂。JChem 搜索鉴定了 52 种类似于 GANT61 及其活性代谢物 GANT61-D 的化合物。我们结合高通量细胞测定和分子对接来评估这些类似物。在 Hh 反应性 C3H10T1/2 和 Gli 报告 NIH3T3 细胞测定中,52 种 GANT61 类似物中的 5 种没有细胞毒性,但抑制了活性。在 C3H10T1/2 细胞中,两种 GANT61 类似物 BAS 07019774 和 Z27610715 降低了 mRNA 表达。BAS 07019774 治疗显著降低了 Hh 依赖性神经胶质瘤和肺癌细胞系的细胞活力。分子对接表明,BAS 07019774 预计与 GLI1 的 ZF4 区域结合,可能干扰其与 DNA 结合的能力。我们的研究结果为开发更有效和更有效的 GLI 抑制剂提供了希望。

https://cdn.ncbi.nlm.nih.gov/pmc/blobs/7e6c/11243198/c45fbfaaa81c/molecules-29-03095-g001.jpg

文献AI研究员

20分钟写一篇综述,助力文献阅读效率提升50倍。

立即体验

用中文搜PubMed

大模型驱动的PubMed中文搜索引擎

马上搜索

文档翻译

学术文献翻译模型,支持多种主流文档格式。

立即体验