Suppr超能文献

的完整叶绿体基因组与十字花科相关物种的比较分析。

Complete Chloroplast Genome of and Comparative Analysis with Related Species from Brassicaceae.

机构信息

Xinjiang Key Laboratory for Ecological Adaptation and Evolution of Extreme Environment Biology, College of Life Sciences, Xinjiang Agricultural University, Urumqi 830052, China.

出版信息

Genes (Basel). 2024 Jul 5;15(7):886. doi: 10.3390/genes15070886.

Abstract

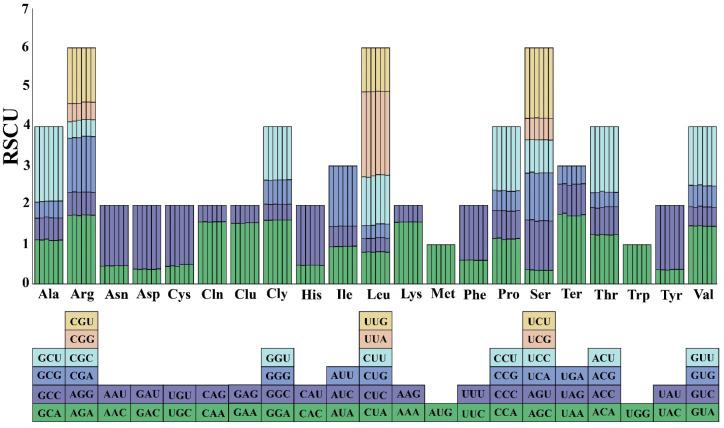
, a perennial herbaceous species belonging to the Brassicaceae family, has potential medicinal value. We isolated and characterized the chloroplast (cp) genome of and compared it with closely related species. The chloroplast genome displayed a typical quadripartite structure, spanning 154,877 bp, with an overall guanine-cytosine (GC) content of 36.20%. Additionally, this genome contained 129 genes, 105 simple sequence repeats (SSRs), and 48 long repeat sequences. Significantly, the gene exhibited a high degree of polymorphism at the small single copy (SSC) region and the inverted repeat a (IRa) boundary. Despite this polymorphism, relative synonymous codon usage (RSCU) values were found to be similar across species, and no large segment rearrangements or inversions were detected. The large single copy (LSC) and SSC regions showed higher sequence variations and nucleotide polymorphisms compared to the IR region. Thirteen distinct hotspot regions were identified as potential molecular markers. Our selection pressure analysis revealed that the protein-coding gene is subjected to different selection pressures in various species. Phylogenetic analysis positioned within the expanded lineage II of the Brassicaceae family. The estimated divergence time suggests that diverged approximately 4.97 million years ago. In summary, this study provides crucial baseline information for the molecular identification, phylogenetic relationships, conservation efforts, and utilization of wild resources in .

摘要

菘蓝,一种属于十字花科的多年生草本植物,具有潜在的药用价值。我们对菘蓝的叶绿体(cp)基因组进行了分离和鉴定,并与亲缘关系较近的物种进行了比较。叶绿体基因组呈现典型的四分体结构,大小为 154877bp,总 GC 含量为 36.20%。此外,该基因组包含 129 个基因、105 个简单重复序列(SSRs)和 48 个长重复序列。值得注意的是,在小单拷贝(SSC)区域和反向重复区 a(IRa)边界,基因表现出高度的多态性。尽管存在这种多态性,但相对同义密码子使用(RSCU)值在物种间是相似的,并且没有检测到大的片段重排或倒位。大片段重复(LSC)和 SSC 区域与 IR 区域相比,具有更高的序列变异和核苷酸多态性。鉴定出 13 个独特的热点区域作为潜在的分子标记。我们的选择压力分析表明,在不同物种中,蛋白质编码基因 受到不同的选择压力。系统发育分析将 定位在十字花科扩展的谱系 II 内。估计的分化时间表明,大约在 497 万年前 发生了分化。总之,本研究为菘蓝的分子鉴定、系统发育关系、保护工作以及野生资源的利用提供了重要的基础信息。

https://cdn.ncbi.nlm.nih.gov/pmc/blobs/3e90/11276580/05b2c5e1bef4/genes-15-00886-g001.jpg

文献AI研究员

20分钟写一篇综述,助力文献阅读效率提升50倍。

立即体验

用中文搜PubMed

大模型驱动的PubMed中文搜索引擎

马上搜索

文档翻译

学术文献翻译模型,支持多种主流文档格式。

立即体验