Suppr超能文献

基于口腔癌风险习惯的唾液特征分析:一项观察性横断面研究。

Salivary Profile Analysis Based on Oral Cancer Risk Habits: An Observational Cross-Sectional Study.

作者信息

Amtha Rahmi, Gunardi Indrayadi, Widyarman Armelia Sari, Herwanto Tiffany, Hartanto Firstine Kelsi, Vincent-Chong Vui King

机构信息

Oral Medicine Department, Faculty of Dentistry, Universitas Trisakti, Jakarta 11440, Indonesia.

Oral Microbiology Department, Faculty of Dentistry, Universitas Trisakti, Jakarta 11440, Indonesia.

出版信息

Biomedicines. 2024 Aug 2;12(8):1748. doi: 10.3390/biomedicines12081748.

Abstract

BACKGROUND

In Indonesia, cultural practices such as betel quid chewing, smoking, and alcohol consumption are prevalent. These practices are known risk factors for oral cancer and may influence the salivary profile, which is essential for maintaining oral health.

PURPOSE

To compare the salivary profiles of individuals with and without risk factors for oral cancer.

METHODS

The study included 49 individuals identified as having risk factors for oral cancer. Unstimulated saliva samples were collected. Various parameters were measured, including salivary pH, flow rate (FR), thickness, color, turbidity, and the levels of IL-1β and IL-8. Data were analyzed using Chi-square and -tests.

RESULTS

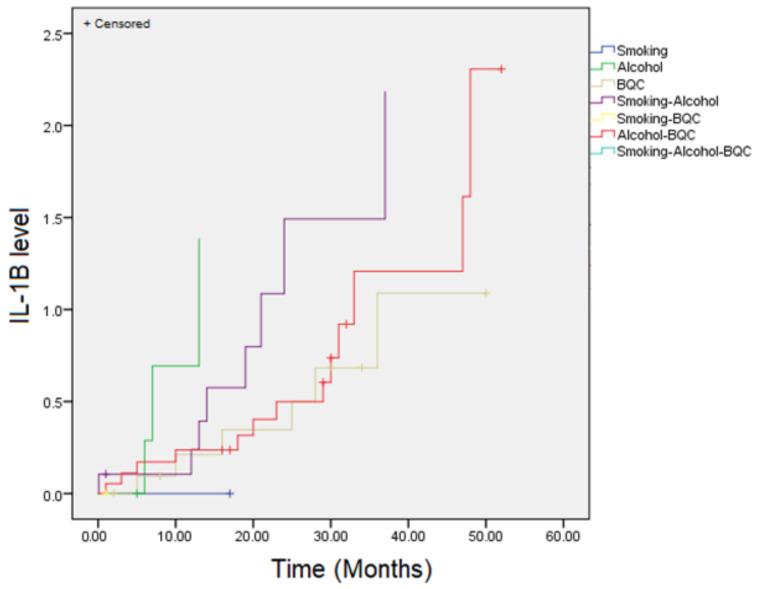
A significant difference was found in salivary IL-1β levels between the two groups ( = 0.009), with higher levels observed in individuals with oral cancer risk factors. Notably, the salivary IL-1β concentrations showed significant differences between the smoking group ( = 0.021; OR = 2.94) and the alcohol-drinking group ( = 0.007; OR = 4.96) compared to the control group. However, no significant differences were observed between the groups in terms of salivary viscosity, color, turbidity, flow rate, acidity, or IL-8 levels ( > 0.05).

CONCLUSION

Individuals with risk factors for oral cancer exhibit distinct salivary IL-1β profiles compared to those without such risk factors, particularly those who practice alcohol drinking.

摘要

背景

在印度尼西亚,嚼槟榔、吸烟和饮酒等文化习俗很普遍。这些行为是已知的口腔癌风险因素,可能会影响对维持口腔健康至关重要的唾液特征。

目的

比较有和没有口腔癌风险因素的个体的唾液特征。

方法

该研究纳入了49名被确定有口腔癌风险因素的个体。收集非刺激性唾液样本。测量了各种参数,包括唾液pH值、流速(FR)、厚度、颜色、浊度以及白细胞介素-1β(IL-1β)和白细胞介素-8(IL-8)水平。使用卡方检验和t检验分析数据。

结果

两组之间唾液IL-1β水平存在显著差异(P = 0.009),口腔癌风险因素个体中观察到的水平更高。值得注意的是,与对照组相比,吸烟组(P = 0.021;OR = 2.94)和饮酒组(P = 0.007;OR = 4.96)的唾液IL-1β浓度存在显著差异。然而,两组在唾液粘度、颜色、浊度、流速、酸度或IL-8水平方面未观察到显著差异(P > 0.05)。

结论

与没有此类风险因素的个体相比,有口腔癌风险因素的个体表现出不同的唾液IL-1β特征,尤其是那些饮酒的个体。

https://cdn.ncbi.nlm.nih.gov/pmc/blobs/4371/11351373/13e867278855/biomedicines-12-01748-g001.jpg

文献AI研究员

20分钟写一篇综述,助力文献阅读效率提升50倍。

立即体验

用中文搜PubMed

大模型驱动的PubMed中文搜索引擎

马上搜索

文档翻译

学术文献翻译模型,支持多种主流文档格式。

立即体验