Suppr超能文献

韩国红参水提取物对大鼠左甲状腺素诱导的甲状腺功能亢进和丙硫氧嘧啶诱导的甲状腺功能减退的保护作用。

Protective effect of Korean red ginseng water extract on levothyroxine-induced hyperthyroidism and propylthiouracil-induced hypothyroidism in rats.

作者信息

Huang Lei, Jang Won Young, Yoon Ji Hye, Piao Zhenyan, Su Jinghan, Kim Dong Seon, Kwon Ki Woong, Kim Ji Won, Park Sang Hee, Kim Sunggyu, Kim Jong-Hoon, Cho Jae Youl

机构信息

Department of Biocosmetics, Sungkyunkwan University, Suwon, Republic of Korea.

Department of Integrative Biotechnology, Biomedical Institute for Convergence of SKKU (BICS), Sungkyunkwan University, Suwon, Republic of Korea.

出版信息

Integr Med Res. 2024 Sep;13(3):101071. doi: 10.1016/j.imr.2024.101071. Epub 2024 Aug 17.

Abstract

BACKGROUND

Korean red ginseng extract (KRGE) (Family: Araliaceae) is one of the most widely used traditional herbs in Asia. Multiple studies have shown that KRGE has anti-inflammation, anti-fatigue, anti-obesity, anti-oxidant, and anti-cancer effects.

METHODS

Sprague-Dawley rats were divided into five groups for PTU-induced hypothyroidism and six groups for LT4-induced hyperthyroidism. At the experiment's conclusion, rats were sacrificed, and blood, thyroid gland, and liver samples were collected. Body weight was recorded weekly, and serum hormone levels were assessed using enzyme-linked immunoassay. Thyroid gland and liver tissues were stained with hematoxylin and eosin. KRGE was prepared in 0.5% CMC and stored at 4 °C before administration.

RESULTS

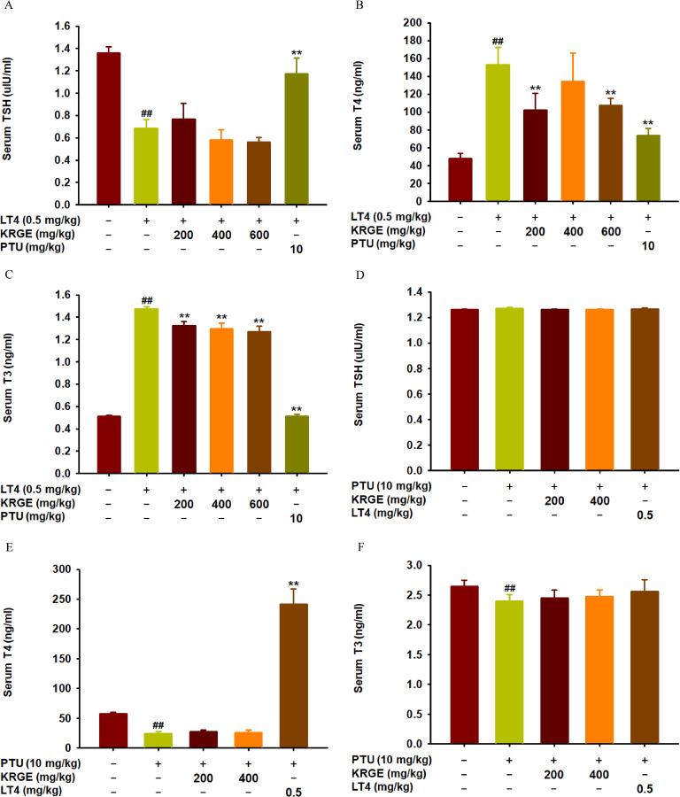
In the LT4-induced hyperthyroidism model, KRGE prevented decreases in body weight, thyroid gland weight, liver weight, serum glucose, and thyroid hormone levels compared to the PTU group. It also reduced increases in T3, T4, and serum aspartate aminotransferase levels after LT4 treatment. Additionally, KRGE improved thyroid gland and liver histopathology, effects not observed in the PTU-induced hypothyroidism model.

CONCLUSION

All things considered, our research points to KRGE's potential protective role in rat hyperthyroidism caused by LT4 by lowering thyroid hormone production.

摘要

背景

韩国红参提取物(KRGE)(五加科)是亚洲使用最广泛的传统草药之一。多项研究表明,KRGE具有抗炎、抗疲劳、抗肥胖、抗氧化和抗癌作用。

方法

将斯普拉格-道利大鼠分为五组用于PTU诱导的甲状腺功能减退,分为六组用于LT4诱导的甲状腺功能亢进。实验结束时,处死大鼠,收集血液、甲状腺和肝脏样本。每周记录体重,并使用酶联免疫吸附测定法评估血清激素水平。甲状腺和肝脏组织用苏木精和伊红染色。KRGE用0.5%羧甲基纤维素制备,给药前保存在4℃。

结果

在LT4诱导的甲状腺功能亢进模型中,与PTU组相比,KRGE可防止体重、甲状腺重量、肝脏重量、血清葡萄糖和甲状腺激素水平下降。它还降低了LT4治疗后T3、T4和血清天冬氨酸转氨酶水平的升高。此外,KRGE改善了甲状腺和肝脏组织病理学,在PTU诱导的甲状腺功能减退模型中未观察到这种效果。

结论

综合考虑,我们的研究表明KRGE通过降低甲状腺激素生成,对LT4引起的大鼠甲状腺功能亢进具有潜在的保护作用。

https://cdn.ncbi.nlm.nih.gov/pmc/blobs/440d/11388169/766ef403b477/gr1.jpg

文献AI研究员

20分钟写一篇综述,助力文献阅读效率提升50倍。

立即体验

用中文搜PubMed

大模型驱动的PubMed中文搜索引擎

马上搜索

文档翻译

学术文献翻译模型,支持多种主流文档格式。

立即体验