Suppr超能文献

富马酸二甲酯负载结冷胶水凝胶可降低口腔细胞中趋化因子的体外表达。

Dimethyl Fumarate-Loaded Gellan Gum Hydrogels Can Reduce In Vitro Chemokine Expression in Oral Cells.

机构信息

Department of Oral Biology, University Clinic of Dentistry, Medical University of Vienna, 1090 Vienna, Austria.

Wenzhou Institute, University of Chinese Academy of Sciences, Wenzhou 325011, China.

出版信息

Int J Mol Sci. 2024 Aug 31;25(17):9485. doi: 10.3390/ijms25179485.

Abstract

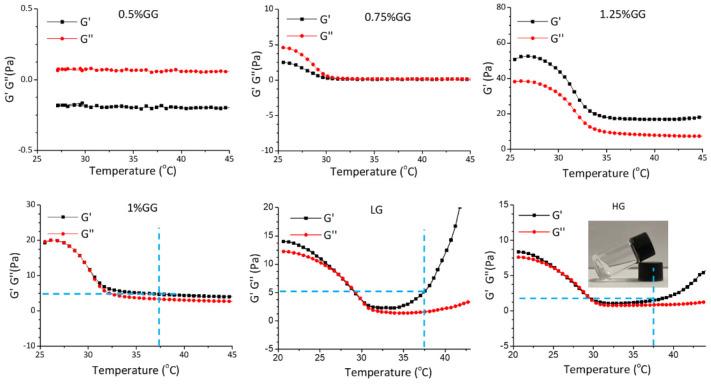
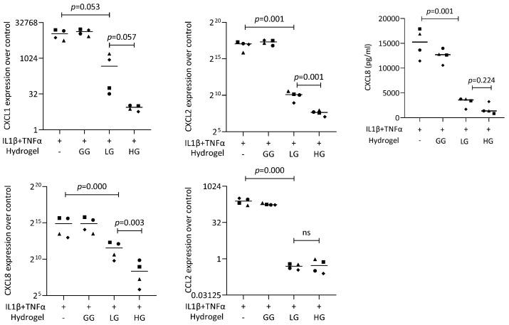
Dimethyl fumarate (DMF), originally proposed to treat multiple sclerosis, is considered to have a spectrum of anti-inflammatory effects that effectively control periodontitis, mainly when applied with a hydrogel delivery system. Chemokine expression by gingival fibroblasts is a significant driver of periodontitis; thus, hydrogel-based strategies to deliver DMF, which in turn dampen chemokine expression, are of potential clinical relevance. To test this approach, we have established a bioassay where chemokine expression is induced by exposing gingival fibroblast to IL1β and TNFα, or with saliva. We show herein that DMF effectively reduced the expression of CXCL8, CXCL1, CXCL2, and CCL2-and lowered the phosphorylation of ERK and JNK-without affecting cell viability. This observation was confirmed by immunoassays with CXCL8. Consistently, the forced chemokine expression in HSC2 oral squamous epithelial cells was greatly diminished by DMF. To implement our hydrogel-based delivery system, gingival fibroblasts were cocultured with gellan gum hydrogels enriched for DMF. In support of our strategy, DMF-enriched gellan gum hydrogels significantly reduced the forced chemokine expression in gingival fibroblasts. Our data suggest that DMF exerts its anti-inflammatory activity in periodontal cells when released from gellan gum hydrogels, suggesting a potential clinical relevance to control overshooting chemokine expression under chronic inflammatory conditions.

摘要

富马酸二甲酯(DMF)最初被提议用于治疗多发性硬化症,被认为具有广泛的抗炎作用,可有效控制牙周炎,尤其是与水凝胶递送系统联合应用时。牙龈成纤维细胞的趋化因子表达是牙周炎的主要驱动因素;因此,递送 DMF 的水凝胶基策略,从而抑制趋化因子表达,具有潜在的临床相关性。为了验证这种方法,我们建立了一种生物测定法,其中通过暴露于 IL1β 和 TNFα 或唾液来诱导趋化因子表达。我们在此表明,DMF 可有效降低 CXCL8、CXCL1、CXCL2 和 CCL2 的表达,并降低 ERK 和 JNK 的磷酸化,而不影响细胞活力。用 CXCL8 的免疫测定法证实了这一观察结果。一致地,DMF 大大降低了 HSC2 口腔鳞状上皮细胞中强制趋化因子的表达。为了实施我们的水凝胶递送系统,将牙龈成纤维细胞与富含 DMF 的结冷胶水凝胶共培养。支持我们的策略,富含 DMF 的结冷胶水凝胶显著降低了牙龈成纤维细胞中强制趋化因子的表达。我们的数据表明,DMF 从结冷胶水凝胶中释放时在牙周细胞中发挥抗炎作用,这表明在慢性炎症条件下控制过度趋化因子表达具有潜在的临床相关性。

https://cdn.ncbi.nlm.nih.gov/pmc/blobs/a699/11395421/d47aa5bc71c4/ijms-25-09485-g001.jpg

文献AI研究员

20分钟写一篇综述,助力文献阅读效率提升50倍。

立即体验

用中文搜PubMed

大模型驱动的PubMed中文搜索引擎

马上搜索

文档翻译

学术文献翻译模型,支持多种主流文档格式。

立即体验