Suppr超能文献

中国内脏脂肪指数:一种比其他腹型肥胖指数与绝经后妇女心血管疾病相关性更强的新型指标。

The Chinese visceral adiposity index: a novel indicator more closely related to cardiovascular disease than other abdominal obesity indices among postmenopausal women.

机构信息

National Key Laboratory for Innovation and Transformation of Luobing Theory, The Key Laboratory of Cardiovascular Remodeling and Function Research, Department of Cardiology, Chinese Ministry of Education, Chinese National Health Commission and Chinese Academy of Medical Sciences, Qilu Hospital of Shandong University, No 107, Wenhuaxi Road, Jinan, Shandong, China.

Key Laboratory of Cardiovascular Proteomics of Shandong Province, Department of Geriatric Medicine, Qilu Hospital of Shandong University, Jinan, China.

出版信息

J Transl Med. 2024 Sep 23;22(1):855. doi: 10.1186/s12967-024-05665-y.

Abstract

BACKGROUND

Several abdominal obesity indices including waist circumference (WC), waist-hip ratio (WHR), visceral adiposity index (VAI), lipid accumulation product (LAP), and Chinese visceral adiposity index (CVAI) were considered effective and useful predictive markers for cardiovascular disease (CVD) in general populations or diabetic populations. However, studies investigating the associations between these indices among postmenopausal women are limited. Our study aimed to investigate the associations of the five indices with incident CVD and compare the predictive performance of CVAI with other abdominal obesity indices among postmenopausal women.

METHODS

A total of 1252 postmenopausal women without CVD at baseline were analyzed in our investigation based on a 10-year follow-up prospective cohort study. Link of each abdominal obesity index with CVD were assessed by the Cox regression analysis and the Kaplan-Meier curve. The receiver operating characteristic (ROC) curves were drawn to compare the predictive ability for CVD.

RESULTS

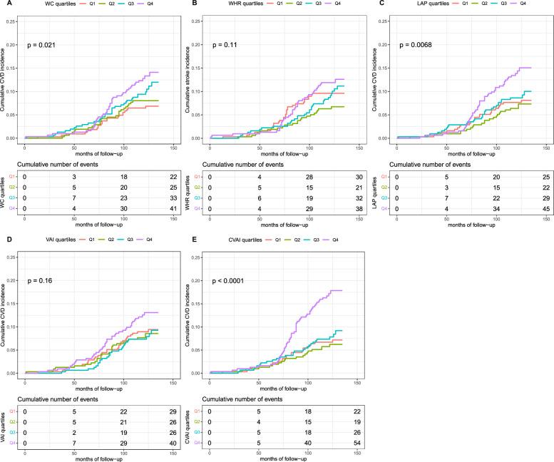
During the median follow-up of 120.53 months, 121 participants newly developed CVD. Compared to quartile 1 of LAP and CVAI, quartile 4 had increased risk to develop CVD after fully adjusted among postmenopausal women. When WC, VAI and CVAI considered as continuous variables, significant increased hazard ratios (HRs) for developing CVD were observed. The areas under the curve (AUC) of CVAI (0.632) was greatly higher than other indices (WC: 0.580, WHR: 0.538, LAP: 0.573, VAI: 0.540 respectively).

CONCLUSIONS

This study suggested that the abdominal obesity indices were associated with the risk of CVD excluded WHR and highlighted that CVAI might be the most valuable abdominal obesity indicator for identifying the high risk of CVD in Chinese postmenopausal women.

摘要

背景

腰围(WC)、腰臀比(WHR)、内脏脂肪指数(VAI)、脂质蓄积产物(LAP)和中国内脏脂肪指数(CVAI)等几种腹部肥胖指数被认为是一般人群或糖尿病患者心血管疾病(CVD)的有效和有用的预测标志物。然而,关于绝经后妇女这些指数之间相关性的研究有限。我们的研究旨在调查这五个指数与新发 CVD 的相关性,并比较 CVAI 与绝经后妇女其他腹部肥胖指数的预测性能。

方法

我们在一项 10 年随访前瞻性队列研究中,共分析了 1252 名基线时无 CVD 的绝经后妇女。通过 Cox 回归分析和 Kaplan-Meier 曲线评估各腹部肥胖指数与 CVD 的关系。绘制受试者工作特征(ROC)曲线比较对 CVD 的预测能力。

结果

在中位随访 120.53 个月期间,121 名参与者新发生 CVD。与 LAP 和 CVAI 的四分位 1 相比,绝经后妇女的四分位 4 发生 CVD 的风险增加。当 WC、VAI 和 CVAI 被视为连续变量时,观察到 CVD 发病的显著增加的危险比(HR)。CVAI 的曲线下面积(AUC)(0.632)明显高于其他指数(WC:0.580、WHR:0.538、LAP:0.573、VAI:0.540)。

结论

本研究表明,腹部肥胖指数与 CVD 风险相关,排除了 WHR,并强调 CVAI 可能是识别中国绝经后妇女 CVD 高危人群最有价值的腹部肥胖指标。

https://cdn.ncbi.nlm.nih.gov/pmc/blobs/7aba/11421114/b7147b4c423f/12967_2024_5665_Fig1_HTML.jpg

文献AI研究员

20分钟写一篇综述,助力文献阅读效率提升50倍。

立即体验

用中文搜PubMed

大模型驱动的PubMed中文搜索引擎

马上搜索

文档翻译

学术文献翻译模型,支持多种主流文档格式。

立即体验