Suppr超能文献

伊朗 pars 队列研究中导致过早死亡的原因和预测因素:一项队列研究。

Causes and predictors of premature death in the pars cohort study, Iran: a cohort study.

机构信息

Digestive Disease Research Center, Digestive Diseases Research Institute, Tehran University of Medical Sciences, Tehran, Iran.

Non-Communicable Disease Research Center, Shiraz University of Medical Sciences, Shiraz, Fars, Iran.

出版信息

BMC Public Health. 2024 Sep 27;24(1):2601. doi: 10.1186/s12889-024-19583-7.

Abstract

BACKGROUND

While death in old age is inevitable, premature death at younger ages is within our control. Premature mortality (death < 70 years) is a crucial indicator of health status and access to healthcare, with variations observed across regions. In North Africa and the Middle East, ischemic heart disease (IHD), road injuries, stroke, and chronic kidney disease are projected to be the main causes of premature mortality. Unfortunately, few studies have been conducted on premature mortality worldwide. This study aimed to analyze the causes of premature death and associated risk factors within the Pars Cohort Study.

METHODS

The Pars Cohort Study is a prospective cohort study conducted in Fars Province, Iran, involving 9,264 individuals aged 40-75 years, 53.8% of whom were women. We assessed participants from baseline (2012-2014) to 2021. The data were gathered through interviews, biological samples, and physical examinations. The causes of premature mortality, hazard ratios (HRs), and population attributable fraction (PAF) with 95% confidence intervals (95% CIs) for the variables were calculated.

RESULTS

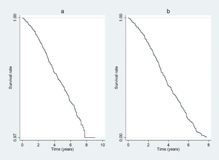
Out of 388 deaths, 54% were premature. The most common causes of premature death included IHD (40%), stroke (11%), road traffic injuries (6%), lower respiratory infections (5%), and COVID-19 (3%). The predictive factors [adjusted HRs (95% CIs)] associated with premature mortality included age [year, 1.07 (1.04, 1.10)], tobacco [1.43 (0.96, 2.11)], opium [2.12 (1.39, 3.24)], hypertension [1.52 (1.10, 2.12)], waist circumference [cm, 1.03 (1.00, 1.05)], female sex [0.30 (0.19, 0.47)], education [> 8 years vs. no formal schooling, 0.46 (0.24, 0.88)], being married [0.60 (0.37, 0.97)], physical activity [3rd vs. 1st tertile, 0.38 (0.26, 0.57)], hip circumference [cm, 0.96 (0.92, 0.99)], estimated GFR [mL/min/1.73 m², 0.99 (0.978, 0.999)], and wealth score [4th vs. 1st quartile, 0.54 (0.32, 0.90)]. The PAF (95% CI) for all modifiable predictors was 0.83 (0.62, 0.92).

CONCLUSIONS

The predominant causes of premature mortality were IHD and stroke. To mitigate premature deaths, it is recommended to address both socioeconomic and behavioral factors simultaneously.

摘要

背景

尽管老年死亡是不可避免的,但年轻时的过早死亡是可以控制的。过早死亡(<70 岁)是健康状况和获得医疗保健的重要指标,不同地区存在差异。在北非和中东,缺血性心脏病(IHD)、道路伤害、中风和慢性肾脏病预计将是过早死亡的主要原因。不幸的是,全球范围内很少有关于过早死亡的研究。本研究旨在分析 Pars 队列研究中过早死亡的原因和相关危险因素。

方法

Pars 队列研究是在伊朗法尔斯省进行的一项前瞻性队列研究,涉及 9264 名年龄在 40-75 岁的个体,其中 53.8%为女性。我们评估了参与者从基线(2012-2014 年)到 2021 年的数据。数据通过访谈、生物样本和体检收集。计算了过早死亡的原因、风险比(HRs)和人群归因分数(PAF)以及变量的 95%置信区间(95%CI)。

结果

在 388 例死亡中,54%为过早死亡。过早死亡的最常见原因包括 IHD(40%)、中风(11%)、道路交通事故(6%)、下呼吸道感染(5%)和 COVID-19(3%)。与过早死亡相关的预测因素[调整后的 HRs(95%CI)]包括年龄[年,1.07(1.04,1.10)]、烟草[1.43(0.96,2.11)]、鸦片[2.12(1.39,3.24)]、高血压[1.52(1.10,2.12)]、腰围[cm,1.03(1.00,1.05)]、女性[0.30(0.19,0.47)]、教育[>8 年 vs. 无正规教育,0.46(0.24,0.88)]、已婚[0.60(0.37,0.97)]、体力活动[第 3 位 vs. 第 1 位 tertile,0.38(0.26,0.57)]、臀围[cm,0.96(0.92,0.99)]、估计肾小球滤过率[eGFR,mL/min/1.73 m²,0.99(0.978,0.999)]和财富评分[第 4 位 vs. 第 1 四分位数,0.54(0.32,0.90)]。所有可修改预测因素的 PAF(95%CI)为 0.83(0.62,0.92)。

结论

过早死亡的主要原因是 IHD 和中风。为了减少过早死亡,建议同时解决社会经济和行为因素。

https://cdn.ncbi.nlm.nih.gov/pmc/blobs/f3c9/11429520/d41b0fb5b893/12889_2024_19583_Fig1_HTML.jpg

文献AI研究员

20分钟写一篇综述,助力文献阅读效率提升50倍。

立即体验

用中文搜PubMed

大模型驱动的PubMed中文搜索引擎

马上搜索

文档翻译

学术文献翻译模型,支持多种主流文档格式。

立即体验