Suppr超能文献

成年人餐后血浆果糖模式的个体间变异性。

Interindividual Variability in Postprandial Plasma Fructose Patterns in Adults.

机构信息

Department of Food Science and Nutrition, California Polytechnic University, San Luis Obispo, CA 93407, USA.

Department of Genetics, School of Medicine, Stanford University, Stanford, CA 94306, USA.

出版信息

Nutrients. 2024 Sep 13;16(18):3079. doi: 10.3390/nu16183079.

Abstract

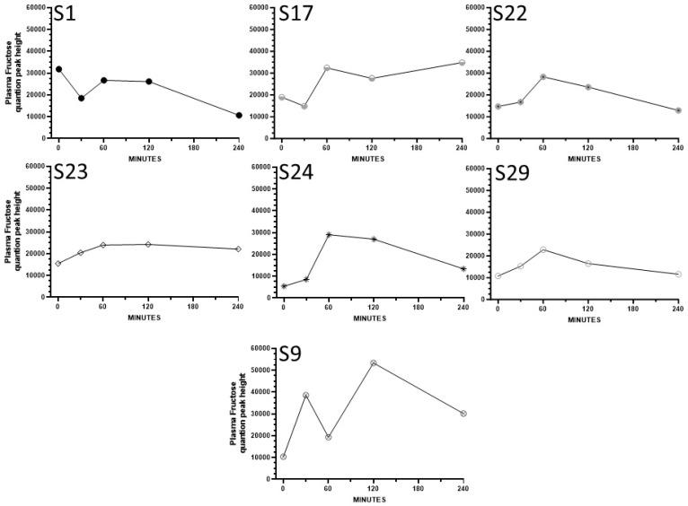
High fructose consumption is associated with an increased risk of cardiometabolic disease, and fructose feeding dose-dependently induces markers reflective of poor metabolic health. However, unlike glucose, surprisingly little is known about person-to-person differences in postprandial plasma fructose patterns. Herein, we performed post hoc analyses of two published studies to address this question. In the first cohort, 16 participants' all-day plasma fructose concentration patterns (08:00-23:30) were determined (8 women and 8 men) while consuming mixed meals (breakfast, lunch, and dinner) with a fructose-sweetened beverage at each meal (30% of calories). Individually plotted results demonstrate remarkably disparate fructose patterns with respect to peak concentration and timing. A secondary study confirmed substantial interindividual variability in plasma fructose patterns over 240 min in 16 adults consuming Ensure, a commercially available mixed macronutrient drink containing a low dose of fructose. The health ramifications of interindividual variations in postprandial fructose metabolism and the underlying physiological mechanisms driving differences in post-meal blood patterns remain to be explored. Future research is warranted to determine if interindividual variability in fructose digestion, metabolism, and postprandial blood concentration patterns is associated with cardiometabolic health phenotypes and disease risk.

摘要

高果糖摄入量与心血管代谢疾病风险增加有关,果糖喂养剂量依赖性地诱导反映代谢健康不良的标志物。然而,与葡萄糖不同,人们对个体间餐后血浆果糖模式的差异知之甚少。在此,我们对两项已发表的研究进行了事后分析,以解决这个问题。在第一个队列中,16 名参与者全天的血浆果糖浓度模式(08:00-23:30)被确定(8 名女性和 8 名男性),同时在每餐(30%的卡路里)中食用含有果糖的混合餐(早餐、午餐和晚餐)和甜饮料。个体绘制的结果表明,在峰值浓度和时间方面,果糖模式存在显著差异。第二项研究在 16 名成年人中证实了在 240 分钟内血浆果糖模式存在很大的个体间变异性,这些成年人摄入的是一种商业上可获得的含有低剂量果糖的混合宏量营养素饮料 Ensure。餐后果糖代谢个体间差异的健康后果以及导致餐后血液模式差异的潜在生理机制仍有待探索。未来的研究需要确定果糖消化、代谢和餐后血浓度模式的个体间变异性是否与心血管代谢健康表型和疾病风险相关。

https://cdn.ncbi.nlm.nih.gov/pmc/blobs/dde3/11435096/6609180e2a7b/nutrients-16-03079-g001.jpg

文献AI研究员

20分钟写一篇综述,助力文献阅读效率提升50倍。

立即体验

用中文搜PubMed

大模型驱动的PubMed中文搜索引擎

马上搜索

文档翻译

学术文献翻译模型,支持多种主流文档格式。

立即体验