Suppr超能文献

轮状病毒NSP4对不同免疫途径中轮状病毒-诺如病毒重组亚单位疫苗免疫反应及保护作用的影响

Effects of Rotavirus NSP4 on the Immune Response and Protection of Rotavirus-Norovirus Recombinant Subunit Vaccines in Different Immune Pathways.

作者信息

Hu Jingping, Wu Jinyuan, Cao Han, Luan Ning, Lin Kangyang, Zhang Haihao, Gao Dandan, Lei Zhentao, Li Hongjun, Liu Cunbao

机构信息

Institute of Medical Biology, Chinese Academy of Medical Sciences and Peking Union Medical College, Kunming 650118, China.

出版信息

Vaccines (Basel). 2024 Sep 8;12(9):1025. doi: 10.3390/vaccines12091025.

Abstract

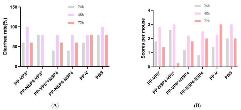
Diarrheal disease continues to be a major cause of global morbidity and mortality among children under 5 years of age. To address the current issues associated with oral attenuated rotavirus vaccines, the study of parenteral rotavirus vaccines has promising prospects. In our previous study, we reported that rotavirus nonstructural protein 4 (NSP4) did not increase the IgG antibody titer of co-immune antigen but did have a protective effect against diarrhea via the intramuscular injection method. Here, we explored whether NSP4 can exert adjuvant effects on mucosal immune pathways. In this study, we immunized mice via muscle and nasal routes, gavaged them with the rotavirus Wa strain or the rotavirus SA11 strain, and then tested the protective effects of immune sera against both viruses. The results revealed that the serum-specific VP8* IgG antibody titers of the mice immunized via the nasal route were much lower than those of the mice immunized by intramuscular injection, and the specific IgA antibodies were almost undetectable in the bronchoalveolar lavage fluid (BALF). NSP4 did not increase the titer of specific VP8* antibodies in either immune pathway. Therefore, in the two vaccines (PP-NSP4-VP8* and PP-VP8*+NSP4) used in this study, NSP4 was unable to perform its potential adjuvant role through the mucosal immune pathway. Instead, NSP4 was used as a co-immunized antigen to stimulate the mice to produce specific binding antibodies that play a protective role against diarrhea.

摘要

腹泻病仍然是全球5岁以下儿童发病和死亡的主要原因。为了解决目前与口服减毒轮状病毒疫苗相关的问题,肠道外轮状病毒疫苗的研究前景广阔。在我们之前的研究中,我们报告轮状病毒非结构蛋白4(NSP4)不会增加共同免疫抗原的IgG抗体滴度,但通过肌肉注射方法对腹泻有保护作用。在此,我们探讨了NSP4是否能对黏膜免疫途径发挥佐剂作用。在本研究中,我们通过肌肉和鼻腔途径免疫小鼠,用轮状病毒Wa株或轮状病毒SA11株对其进行灌胃,然后测试免疫血清对这两种病毒的保护作用。结果显示,经鼻腔途径免疫的小鼠血清特异性VP8* IgG抗体滴度远低于经肌肉注射免疫的小鼠,在支气管肺泡灌洗液(BALF)中几乎检测不到特异性IgA抗体。在任何一种免疫途径中,NSP4均未增加特异性VP8抗体的滴度。因此,在本研究使用的两种疫苗(PP-NSP4-VP8和PP-VP8*+NSP4)中,NSP4无法通过黏膜免疫途径发挥其潜在的佐剂作用。相反,NSP4被用作共同免疫抗原,刺激小鼠产生对腹泻起保护作用的特异性结合抗体。

https://cdn.ncbi.nlm.nih.gov/pmc/blobs/aa16/11436106/961794d41303/vaccines-12-01025-g001a.jpg

文献AI研究员

20分钟写一篇综述,助力文献阅读效率提升50倍。

立即体验

用中文搜PubMed

大模型驱动的PubMed中文搜索引擎

马上搜索

文档翻译

学术文献翻译模型,支持多种主流文档格式。

立即体验