Suppr超能文献

吡唑衍生物的合成及其生物学意义的近期研究要点

Recent highlights in the synthesis and biological significance of pyrazole derivatives.

作者信息

Moussa Ziad, Ramanathan Mani, Alharmoozi Shaikha Mohammad, Alkaabi Shahad Ali Saeed, Al Aryani Salamah Hamdan Mohammed, Ahmed Saleh A, Al-Masri Harbi Tomah

机构信息

Department of Chemistry, College of Science, United Arab Emirates University, P. O. Box 15551, Al Ain, United Arab Emirates.

Department of Chemistry, Faculty of Applied Sciences, Umm Al-Qura University, Makkah, 21955, Saudi Arabia.

出版信息

Heliyon. 2024 Oct 9;10(20):e38894. doi: 10.1016/j.heliyon.2024.e38894. eCollection 2024 Oct 30.

Abstract

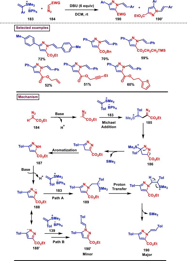
Aza-heterocyclic scaffolds are privileged cores in the composition of their potential therapeutic profiles and versatile synthetic intermediates. Pyrazole is one of the frequently studied compounds of "azole" family and consists of nitrogen in a 1,2 linking sequence. These motifs possess a wide-spectrum of applications in the field of pharmaceuticals, agrochemicals, polymer chemistry, cosmetics, food industries and more. In addition, functionalized pyrazole derivatives are frequently used as ligands in coordination chemistry and metal-catalysed reactions. As exemplified by numerous recent reports, pyrazoles are highly promising pharmacophores with excellent therapeutic applications. Owing to their aromaticity, the ring structures have many reactive positions, where electrophilic, nucleophilic, alkylation and oxidative reactions might occur. The structural adroitness and diversity of pyrazole cores further emanated numerous fused bicyclic skeletons with various biological applications. In this review, we highlight the recent synthetic methods developed for the preparation of functionalized pyrazole derivatives (From 2017 to present). In addition, we have also covered the notable biological activities (anti-cancer, anti-inflammatory, anti-bacterial and anti-viral) of this ubiquitous core. Herein, we emphasised the synthesis of pyrazoles from variety of precursors such as, alkynes, α,β-unsaturated carbonyl compounds, diazo reagents, nitrile imines, diazonium salts, 1,3-dicarbonyl compounds and etc. Moreover, the recent synthetic methodologies focusing on the preparation of pyrazolines and pyrazolones and variously fused-pyrazoles are also included. Authors expect this review could significantly help the researchers in finding elegant novel tools to synthesize pyrazole skeletons and expand their biological evaluation.

摘要

氮杂环骨架在其潜在治疗特性的构成中是优势核心,并且是通用的合成中间体。吡唑是“唑”家族中经常被研究的化合物之一,由1,2连接序列的氮组成。这些结构单元在制药、农用化学品、高分子化学、化妆品、食品工业等领域有广泛的应用。此外,功能化的吡唑衍生物经常被用作配位化学和金属催化反应中的配体。正如众多近期报道所例证的,吡唑是具有出色治疗应用的极有前景的药效基团。由于其芳香性,环结构有许多反应位点,可能发生亲电、亲核、烷基化和氧化反应。吡唑核心的结构灵活性和多样性进一步衍生出许多具有各种生物应用的稠合双环骨架。在本综述中,我们重点介绍了(从2017年至今)为制备功能化吡唑衍生物而开发的最新合成方法。此外,我们还涵盖了这个普遍存在的核心的显著生物活性(抗癌、抗炎、抗菌和抗病毒)。在此,我们强调了从各种前体如炔烃、α,β-不饱和羰基化合物、重氮试剂、腈亚胺、重氮盐、1,3-二羰基化合物等合成吡唑。此外,还包括了专注于制备吡唑啉和吡唑酮以及各种稠合吡唑的最新合成方法。作者期望这篇综述能极大地帮助研究人员找到合成吡唑骨架的精妙新颖工具并扩展其生物学评估。

https://cdn.ncbi.nlm.nih.gov/pmc/blobs/c2c5/11531639/1b0776150790/ga1.jpg

文献AI研究员

20分钟写一篇综述,助力文献阅读效率提升50倍。

立即体验

用中文搜PubMed

大模型驱动的PubMed中文搜索引擎

马上搜索

文档翻译

学术文献翻译模型,支持多种主流文档格式。

立即体验