Suppr超能文献

COPD 患者合并继发性红细胞增多症中肺栓塞的患病率及相关危险因素。

Prevalence and Risk Factors of Pulmonary Embolism in COPD Patients Complicated with Secondary Polycythemia.

机构信息

General Medicine Department, Qinghai Provincial People's Hospital, Xining, Qinghai, People's Republic of China.

出版信息

Int J Chron Obstruct Pulmon Dis. 2024 Nov 3;19:2371-2385. doi: 10.2147/COPD.S481905. eCollection 2024.

Abstract

PURPOSE

This study aimed to establish the prevalence of pulmonary embolism (PE) in chronic obstructive pulmonary disease (COPD) patients with secondary polycythemia (SP) and explore the risk factors for PE in COPD patients with SP.

PATIENTS AND METHODS

We analyzed the prevalence of PE among COPD patients with SP who were hospitalized at Qinghai Provincial People's Hospital between January 2015 and December 2020. From January 2021 to January 2024, we enrolled patients into three groups (COPD+SP+PE, COPD+SP, and control) and performed laboratory measurements, biomarkers, echocardiography, and pulmonary function tests. Patients in the COPD+SP group received clinical treatment, and biomarkers were measured again seven days after treatment.

RESULTS

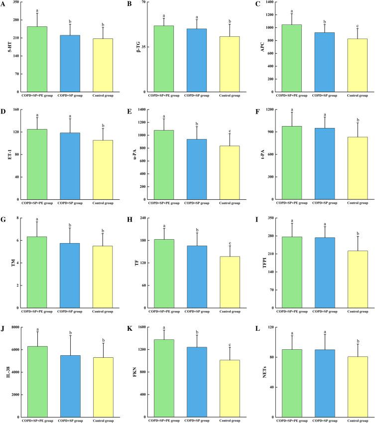
The prevalence of PE in patients with COPD SP was 5.21%. We found that COPD+SP+PE group had significantly higher levels of erythrocyte distribution width (RDW), platelet volume distribution width (PDW), mean platelet volume (MPV), neutrophil-to-lymphocyte ratio (NLR), platelet-to-lymphocyte ratio (PLR), lymphocyte-to-monocyte ratio (LMR), monocyte to large platelet ratio (MLPR), 5-hydroxytryptamine (5-HT), activated protein C (APC), urokinase-type plasminogen activator (u-PA), thrombomodulin (TM), interleukin-38 (IL-38), tissue factor (TF), and fractalkine (FKN) in contrast to COPD+SP group. Biomarkers, such as FKN, β-thromboglobulin (β-TG), APC, u-PA, TM, TF, and IL-38, were risk factors for COPD patients with SP who are complicated by PE. Clinical treatment significantly reduced the levels of β-TG, IL-38, APC, endothelin-1 (ET-1), u-PA, FKN, TM, 5-HT, and neutrophil extracellular traps (NETs) in patients with COPD+SP.

CONCLUSION

PE incidence was significantly higher in patients with COPD and SP. In COPD patients with SP, routine joint detection of blood and cardiac markers, blood gas analysis, and pulmonary function tests can help to identify patients with PE. APC, u-PA, TF, FKN, TM, and IL-38 are risk factors for PE in patients with COPD and SP, and clinical treatment can effectively reduce this risk.

摘要

目的

本研究旨在确定伴有继发性红细胞增多症(SP)的慢性阻塞性肺疾病(COPD)患者中肺栓塞(PE)的患病率,并探讨 COPD 伴 SP 患者发生 PE 的危险因素。

方法

我们分析了 2015 年 1 月至 2020 年 12 月期间在青海省人民医院住院的 COPD 伴 SP 患者中 PE 的患病率。从 2021 年 1 月至 2024 年 1 月,我们将患者分为三组(COPD+SP+PE、COPD+SP 和对照组),并进行实验室测量、生物标志物、超声心动图和肺功能检查。COPD+SP 组患者接受临床治疗,治疗 7 天后再次测量生物标志物。

结果

COPD SP 患者中 PE 的患病率为 5.21%。我们发现 COPD+SP+PE 组红细胞分布宽度(RDW)、血小板体积分布宽度(PDW)、平均血小板体积(MPV)、中性粒细胞与淋巴细胞比值(NLR)、血小板与淋巴细胞比值(PLR)、淋巴细胞与单核细胞比值(LMR)、单核细胞与大血小板比值(MLPR)、5-羟色胺(5-HT)、活化蛋白 C(APC)、尿激酶型纤溶酶原激活物(u-PA)、血栓调节蛋白(TM)、白细胞介素-38(IL-38)、组织因子(TF)和 fractalkine(FKN)水平明显高于 COPD+SP 组。FKN、β-血栓球蛋白(β-TG)、APC、u-PA、TM、TF 和 IL-38 等生物标志物是 COPD 伴 SP 患者并发 PE 的危险因素。临床治疗可显著降低 COPD+SP 患者的β-TG、IL-38、APC、内皮素-1(ET-1)、u-PA、FKN、TM、5-HT 和中性粒细胞胞外诱捕网(NETs)水平。

结论

COPD 合并 SP 患者的 PE 发生率明显更高。在 COPD 伴 SP 患者中,常规联合检测血液和心脏标志物、血气分析和肺功能检查有助于识别 PE 患者。APC、u-PA、TF、FKN、TM 和 IL-38 是 COPD 伴 SP 患者发生 PE 的危险因素,临床治疗可有效降低风险。

https://cdn.ncbi.nlm.nih.gov/pmc/blobs/f0e1/11542496/48e40b442f99/COPD-19-2371-g0001.jpg

文献AI研究员

20分钟写一篇综述,助力文献阅读效率提升50倍。

立即体验

用中文搜PubMed

大模型驱动的PubMed中文搜索引擎

马上搜索

文档翻译

学术文献翻译模型,支持多种主流文档格式。

立即体验