Suppr超能文献

血小板指标与慢性阻塞性肺疾病风险之间的关联:一项双向孟德尔随机化研究

Association Between Platelet Indices and Risk of Chronic Obstructive Pulmonary Disease: A Bidirectional Mendelian Randomization Study.

作者信息

Liao Weifeng, Lin Xiaoxi, Liu Keyu, Yang Yitian, Du Lianfang, Pan Jingjing, Chen Feiju, Ye Weilong, Chen Bainian, Chen Riken, Chen Wenliang, Yao Weimin

机构信息

Department of Respiratory and Critical Care Medicine, The Second Affiliated Hospital of Guangdong Medical University, Zhanjiang, Guangdong, 524003, People's Republic of China.

Department of Anesthesia, The Second Affiliated Hospital of Guangdong Medical University, Zhanjiang, Guangdong, 524003, People's Republic of China.

出版信息

Int J Chron Obstruct Pulmon Dis. 2025 Aug 27;20:2967-2977. doi: 10.2147/COPD.S531797. eCollection 2025.

Abstract

INTRODUCTION

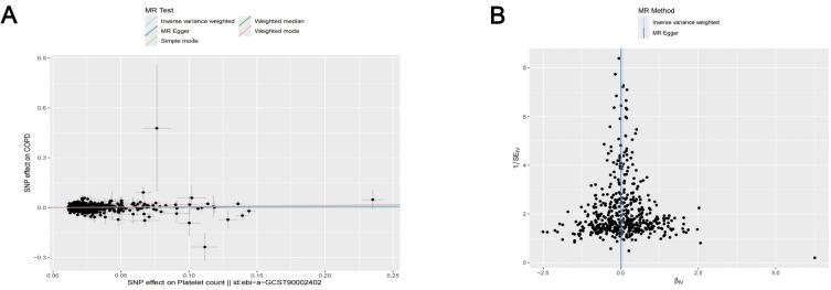
Platelet indices are associated with chronic obstructive pulmonary disease (COPD), their causal relationship remains unclear. This study aims to explore the causal relationship between four common platelet indices and COPD using Mendelian randomization (MR), including platelet count (PLT), plateletcrit (PCT), mean platelet volume (MPV), and platelet distribution width (PDW).

METHODS

We analyzed summary statistics from European-ancestry genome-wide association studies (GWAS) for platelet indices (UK Biobank, n=408,112) and COPD (FinnGen, n=433,208). MR analyses were performed using Inverse Variance Weighting (IVW), MR Egger (ME), Simple Mode (SM), Weighted Median (WMe), and Weighted Mode (WMo). Heterogeneity between SNPs was assessed using Cochran's Q test in combination with a random-effects IVW approach. MR-Egger intercept test and MR-PRESSO analysis demonstrate horizontal pleiotropy. Leave-one-out analysis to assess outlier-driven bias.

RESULTS

IVW analysis indicated that higher PLT was suggestively associated with increased COPD risk (OR = 1.054, 95% CI = 1.005-1.056, = 0.029, FDR = 0.116). In the reverse direction, COPD was suggestively associated with increased PCT (OR = 1.025, 95% CI = 1.003-1.048, = 0.024, FDR= 0.096). No significant associations were observed for MPV or PDW. Sensitivity analyses confirmed the robustness of results, with no signs of pleiotropy or reverse causality.

CONCLUSION

Our bidirectional MR analysis found no definitive causal relationship between platelet indices and COPD, but observed suggestive associations between higher PLT/PCT and an increased risk of COPD. These findings warrant further investigation into the roles of platelet indices in COPD pathogenesis and their potential as biomarkers or therapeutic targets.

摘要

引言

血小板指标与慢性阻塞性肺疾病(COPD)相关,但其因果关系尚不清楚。本研究旨在利用孟德尔随机化(MR)方法探讨四种常见血小板指标与COPD之间的因果关系,这四种指标包括血小板计数(PLT)、血小板压积(PCT)、平均血小板体积(MPV)和血小板分布宽度(PDW)。

方法

我们分析了欧洲血统全基因组关联研究(GWAS)中关于血小板指标(英国生物银行,n = 408,112)和COPD(芬兰基因库,n = 433,208)的汇总统计数据。使用逆方差加权法(IVW)、MR-Egger法(ME)、简单模式法(SM)、加权中位数法(WMe)和加权模式法(WMo)进行MR分析。使用Cochran's Q检验结合随机效应IVW方法评估单核苷酸多态性(SNP)之间的异质性。MR-Egger截距检验和MR-PRESSO分析显示存在水平多效性。采用留一法分析以评估异常值驱动的偏差。

结果

IVW分析表明,较高的PLT与COPD风险增加存在提示性关联(比值比[OR]=1.054,95%置信区间[CI]=1.005 - 1.056,P = 0.029,假发现率[FDR]=0.116)。反之,COPD与PCT升高存在提示性关联(OR = 1.025,95% CI = 1.003 - 1.048,P = 0.024,FDR = 0.096)。未观察到MPV或PDW有显著关联。敏感性分析证实了结果的稳健性,未发现多效性或反向因果关系的迹象。

结论

我们的双向MR分析未发现血小板指标与COPD之间存在明确的因果关系,但观察到较高的PLT/PCT与COPD风险增加之间存在提示性关联。这些发现值得进一步研究血小板指标在COPD发病机制中的作用及其作为生物标志物或治疗靶点的潜力。

https://cdn.ncbi.nlm.nih.gov/pmc/blobs/5589/12401736/888c41230a9b/COPD-20-2967-g0001.jpg

文献AI研究员

20分钟写一篇综述,助力文献阅读效率提升50倍。

立即体验

用中文搜PubMed

大模型驱动的PubMed中文搜索引擎

马上搜索

文档翻译

学术文献翻译模型,支持多种主流文档格式。

立即体验