Suppr超能文献

社交机器人和传感器助力居家老年化:关注移动性和社会经济因素的混合方法研究

Social Robots and Sensors for Enhanced Aging at Home: Mixed Methods Study With a Focus on Mobility and Socioeconomic Factors.

机构信息

Department of Sport Science, School of Science and Technology, Nottingham Trent University, Nottingham, United Kingdom.

Department of Computing & Advanced Wellbeing Research Centre, Sheffield Hallam University, Sheffield, United Kingdom.

出版信息

JMIR Aging. 2024 Nov 25;7:e63092. doi: 10.2196/63092.

Abstract

BACKGROUND

Population aging affects society, with a profound impact on daily activities for those of a low socioeconomic status and with motor impairments. Social assistive robots (SARs) and monitoring technologies can improve older adults' well-being by assisting with and monitoring home activities.

OBJECTIVE

This study explored the opinions and needs of older adults, including those with motor difficulties and of a low socioeconomic status, regarding SARs and monitoring technologies at home to promote daily activities and reduce sedentary behaviors.

METHODS

A mixed methods approach was used, with 31 older adults divided into 3 groups: those of a low socioeconomic status, those with motor difficulties, and healthy individuals. Focus groups were conducted, and they were analyzed using thematic analysis. Perceived mental and physical well-being were assessed using the 12-Item Short Form Health Survey, and attitudes toward robots were evaluated using the Multidimensional Robot Attitude Scale.

RESULTS

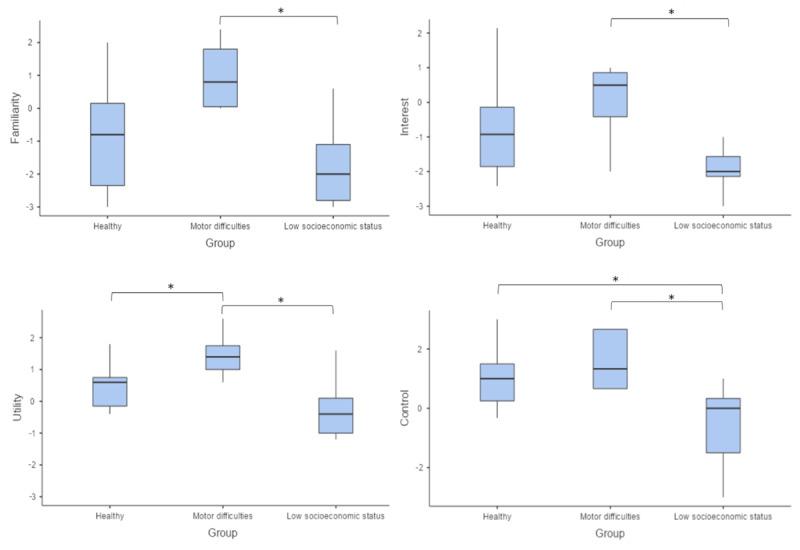
The results identified 14 themes in four key areas: (1) technology use for supporting daily activities and reducing sedentary behaviors, (2) perceived barriers, (3) suggestions and preferences, and (4) actual home technology use. Lower perceived physical well-being was associated with higher levels of familiarity, interest, perceived utility, and control related to SARs. Lower perceived psychological well-being was linked to a more negative attitude, increased concerns about environmental fit, and a preference for less variety. Notably, older adults from the low-socioeconomic status group perceived less control over SARs, whereas older adults with motor difficulties expressed higher perceived utility compared to other groups, as well as higher familiarity and interest compared to the low-socioeconomic status group.

CONCLUSIONS

Participants indicated that SARs and monitoring technologies could help reduce sedentary behaviors by assisting in the management of daily activities. The results are discussed in the context of these outcomes and the implementation of SARs and monitoring technologies at home. This study highlights the importance of considering the functional and socioeconomic characteristics of older adults as future users of SARs and monitoring technologies to promote widespread adoption and improve well-being within this population.

摘要

背景

人口老龄化影响社会,对社会经济地位较低和有运动障碍的人的日常活动产生深远影响。社交辅助机器人(SAR)和监测技术可以通过辅助和监测家庭活动来提高老年人的幸福感。

目的

本研究探讨了老年人,包括社会经济地位较低和有运动障碍的老年人,对社交辅助机器人和家庭监测技术的意见和需求,以促进日常活动并减少久坐行为。

方法

采用混合方法,将 31 名老年人分为 3 组:社会经济地位较低、有运动障碍和健康个体。进行了焦点小组讨论,并使用主题分析对其进行了分析。使用 12 项简短健康调查评估感知的心理和身体健康,使用多维机器人态度量表评估对机器人的态度。

结果

研究结果确定了四个关键领域的 14 个主题:(1)用于支持日常活动和减少久坐行为的技术使用,(2)感知障碍,(3)建议和偏好,以及(4)实际家庭技术使用。感知身体健康较低与对 SAR 的更高熟悉度、兴趣、感知效用和控制水平相关。感知心理健康较低与更消极的态度、对环境适应性的更多担忧以及对多样性的偏好相关。值得注意的是,社会经济地位较低的老年人对 SAR 的控制感较低,而有运动障碍的老年人与其他组相比,感知效用更高,与社会经济地位较低的老年人相比,他们的熟悉度和兴趣更高。

结论

参与者表示,社交辅助机器人和监测技术可以通过帮助管理日常活动来帮助减少久坐行为。结果根据这些结果以及社交辅助机器人和监测技术在家中的实施情况进行了讨论。本研究强调了考虑未来社交辅助机器人和监测技术使用者的功能和社会经济特征的重要性,以促进这一人群的广泛采用并提高他们的幸福感。

https://cdn.ncbi.nlm.nih.gov/pmc/blobs/370f/11629043/d72b6646718b/aging_v7i1e63092_fig1.jpg

文献AI研究员

20分钟写一篇综述,助力文献阅读效率提升50倍。

立即体验

用中文搜PubMed

大模型驱动的PubMed中文搜索引擎

马上搜索

文档翻译

学术文献翻译模型,支持多种主流文档格式。

立即体验