Suppr超能文献

解析胶质母细胞瘤的分子特征和预后生物标志物:关于治疗抗性和个性化策略的综合研究

Unraveling molecular signatures and prognostic biomarkers in glioblastoma: a comprehensive study on treatment resistance and personalized strategies.

作者信息

Xue Jinmin, Zhang Jie, Zhu Jing

机构信息

Department of Oncology, The First Affiliated Hospital of Chongqing Medical University, Chongqing, 400000, China.

Department of Oncology, Jinshan Hospital of the First Affiliated Hospital of Chongqing Medical University, Chongqing, 400016, China.

出版信息

Discov Oncol. 2024 Dec 4;15(1):743. doi: 10.1007/s12672-024-01649-y.

Abstract

BACKGROUND

Glioblastoma (GBM) is a highly aggressive primary brain tumor with limited treatment success and poor prognosis. Despite surgical resection and adjuvant therapies, GBM often recurs, and resistance to radiotherapy and temozolomide presents significant challenges. This study aimed to elucidate molecular signatures associated with treatment responses, identify potential biomarkers, and enhance personalized treatment strategies for GBM.

METHODS

We conducted a comprehensive analysis using the Gene Expression Omnibus (GEO) and The Cancer Genome Atlas (TCGA) databases. The GEO dataset (GSE206225) was used to identify differentially expressed genes (DEGs) between radiation-sensitive/resistant and temozolomide-sensitive/resistant GBM samples. TCGA data were utilized for subsequent analyses, including Lasso-Cox regression, risk score model construction, Kaplan-Meier survival analysis, and gene set enrichment analysis (GSEA). Hub genes were identified through survival analysis, and a gene prognostic nomogram was developed. Additionally, validation of the three-gene risk signature through multiple external cohorts and validation of protein expression levels were performed.

RESULTS

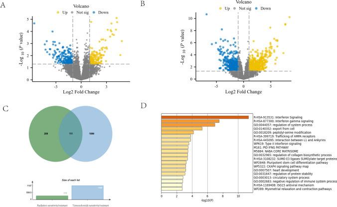
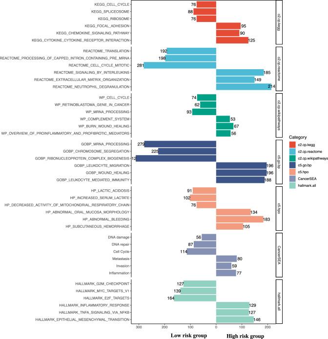
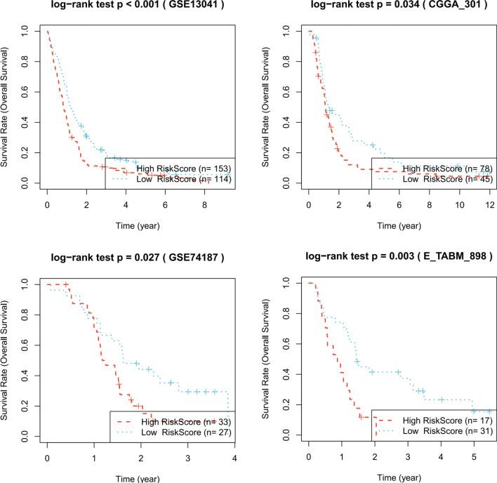
DEG analysis identified 111 genes associated with chemoradiotherapy resistance, providing insights into the complex landscape of GBM treatment response. The risk score model effectively stratified patients, showing significant differences in overall survival and progression-free survival. GSEA offered a deeper understanding of pathway activities, emphasizing the intricate molecular mechanisms involved. NNAT, IGFBP6, and CYGB were identified as hub genes, and a gene prognostic nomogram demonstrated predictive accuracy.

CONCLUSION

This study sheds light on the molecular intricacies governing GBM treatment response. The identified hub genes and the gene prognostic nomogram offer valuable tools for predicting patient outcomes and guiding personalized treatment strategies. These findings contribute to advancing our understanding of GBM biology and may pave the way for improved clinical management.

摘要

背景

胶质母细胞瘤(GBM)是一种侵袭性很强的原发性脑肿瘤,治疗效果有限,预后较差。尽管进行了手术切除和辅助治疗,但GBM常常复发,对放疗和替莫唑胺的耐药性带来了重大挑战。本研究旨在阐明与治疗反应相关的分子特征,识别潜在的生物标志物,并加强GBM的个性化治疗策略。

方法

我们使用基因表达综合数据库(GEO)和癌症基因组图谱(TCGA)数据库进行了全面分析。GEO数据集(GSE206225)用于识别辐射敏感/耐药和替莫唑胺敏感/耐药GBM样本之间的差异表达基因(DEG)。TCGA数据用于后续分析,包括套索-考克斯回归、风险评分模型构建、卡普兰-迈耶生存分析和基因集富集分析(GSEA)。通过生存分析确定枢纽基因,并开发了基因预后列线图。此外,通过多个外部队列对三基因风险特征进行了验证,并对蛋白质表达水平进行了验证。

结果

DEG分析确定了111个与放化疗耐药相关的基因,为GBM治疗反应的复杂情况提供了见解。风险评分模型有效地对患者进行了分层,在总生存期和无进展生存期方面显示出显著差异。GSEA对通路活性有了更深入的了解,强调了其中涉及的复杂分子机制。NNAT、IGFBP6和CYGB被确定为枢纽基因,基因预后列线图显示出预测准确性。

结论

本研究揭示了GBM治疗反应背后的分子复杂性。所确定的枢纽基因和基因预后列线图为预测患者预后和指导个性化治疗策略提供了有价值的工具。这些发现有助于推进我们对GBM生物学的理解,并可能为改善临床管理铺平道路。

https://cdn.ncbi.nlm.nih.gov/pmc/blobs/913d/11618281/e5ac7cf1c1ae/12672_2024_1649_Fig1_HTML.jpg

文献AI研究员

20分钟写一篇综述,助力文献阅读效率提升50倍。

立即体验

用中文搜PubMed

大模型驱动的PubMed中文搜索引擎

马上搜索

文档翻译

学术文献翻译模型,支持多种主流文档格式。

立即体验