Suppr超能文献

人附睾蛋白4在急性心肌梗死中的预后价值

Prognostic Value of Human Epididymis Protein 4 in Acute Myocardial Infarction.

作者信息

Tang Yi, Zhu Wen-Yu, Peng Si-Ling, Huang Shuai, Zhao Qiu-Ni, Tan Si-Yuan, Yin Zi-Hui, Zhang Yan, Peng Jian-Qiang, Pan Hong-Wei

机构信息

Department of Cardiology, Hunan Provincial People's Hospital, The First Affiliated Hospital of Hunan Normal University, Clinical Medicine Research Center of Heart Failure of Hunan Province, Hunan Normal University, Changsha, 410005, People's Republic of China.

Hunan Provincial People's Hospital, The First Affiliated Hospital of Hunan Normal University, Hunan Normal University, Changsha, 410005, People's Republic of China.

出版信息

Int J Gen Med. 2024 Dec 14;17:6243-6251. doi: 10.2147/IJGM.S470399. eCollection 2024.

Abstract

PURPOSE

To investigate the prognostic value of human epididymis protein 4 (HE4) in patients with acute myocardial infarction (AMI).

PATIENTS AND METHODS

A total of 212 consecutive patients diagnosed with AMI in the Department of Cardiovascular Medicine of Hunan Provincial People's Hospital from June 2020 to May 2021 were enrolled. We determined plasma HE4 levels at baseline. The patients were followed up regularly and the occurrence of major adverse cardiac events (MACE) was recorded after discharge.

RESULTS

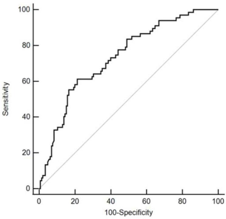
After a mean follow-up period of 242 (159-427) days, 67 patients had MACE. Multivariate Cox regression analysis showed that HE4 was an independent predictor of MACE in patients with AMI [HR = 1.004 (1.002-1.007), P = 0.002]. Kaplan-Meier survival curves showed that patients with HE4 levels > 532.9 pmol/L had higher MACE compared with patients with ≤ 532.9 pmol/L HE4 levels (HR=4.044, 95% CI 2.373-6.890, P <0.001). Receiver operating characteristic (ROC) curve analysis showed that the area under the curve (AUC) of HE4 for predicting MACE was 0.734 (95% CI: 0.669-0.792, P < 0.001).

CONCLUSION

Human epididymis protein 4 (HE4) might be a novel biomarker for predicting the prognosis of patients with AMI.

摘要

目的

探讨人附睾蛋白4(HE4)在急性心肌梗死(AMI)患者中的预后价值。

患者与方法

纳入2020年6月至2021年5月在湖南省人民医院心血管内科连续诊断为AMI的212例患者。我们在基线时测定血浆HE4水平。对患者进行定期随访,并记录出院后主要不良心脏事件(MACE)的发生情况。

结果

平均随访242(159 - 427)天后,67例患者发生MACE。多因素Cox回归分析显示,HE4是AMI患者MACE的独立预测因子[HR = 1.004(1.002 - 1.007),P = 0.002]。Kaplan-Meier生存曲线显示,HE4水平> 532.9 pmol/L的患者与HE4水平≤ 532.9 pmol/L的患者相比,MACE发生率更高(HR = 4.044,95% CI 2.373 - 6.890,P < 0.001)。受试者工作特征(ROC)曲线分析显示,HE4预测MACE的曲线下面积(AUC)为0.734(95% CI:[0.669 - 0.792],P < 0.001)。

结论

人附睾蛋白4(HE4)可能是预测AMI患者预后的一种新型生物标志物。

https://cdn.ncbi.nlm.nih.gov/pmc/blobs/dd3a/11653861/22f1b0cd1a27/IJGM-17-6243-g0001.jpg

文献AI研究员

20分钟写一篇综述,助力文献阅读效率提升50倍。

立即体验

用中文搜PubMed

大模型驱动的PubMed中文搜索引擎

马上搜索

文档翻译

学术文献翻译模型,支持多种主流文档格式。

立即体验