Suppr超能文献

炎症标志物将高血压患者的甘油三酯-葡萄糖指数和肥胖指标与不良心血管事件联系起来:来自三个队列的见解

Inflammatory markers link triglyceride-glucose index and obesity indicators with adverse cardiovascular events in patients with hypertension: insights from three cohorts.

作者信息

Huang Yanqiu, Zhou Yi, Xu Yadan, Wang Xiaoyu, Zhou Ziyi, Wu Kang, Meng Qiqi, Wang Liao, Yang Yang, Gao Hong, Ji Juan, Jiang Xu, Yang Yang, Hao Lipeng, Wang Hui

机构信息

State Key Laboratory of Systems Medicine for Cancer, Center for Single-Cell Omics, School of Public Health, Shanghai Jiao Tong University School of Medicine, Shanghai, China.

Pudong New District Center for Disease Control and Prevention of Shanghai, Shanghai, China.

出版信息

Cardiovasc Diabetol. 2025 Jan 8;24(1):11. doi: 10.1186/s12933-024-02571-x.

Abstract

BACKGROUND

Among hypertensive cohorts across different nations, the relationship between the triglyceride-glucose index (TyG) and its conjunction with obesity metrics in relation to cardiovascular disease (CVD) incidence and mortality remains to be elucidated.

METHODS

This study enrolled 9,283, 164,357, and 5,334 hypertensives from the National Health and Nutrition Examination Survey (NHANES), UK Biobank (UKBB), and Shanghai Pudong cohort. The related outcomes for CVD were defined by multivariate Cox proportional hazards models, Generalized Additive Models and Mendelian randomization analysis. Mediation analysis explored the mediating role of inflammatory markers in the above relationships.

RESULTS

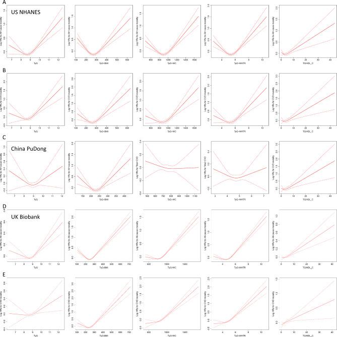
Five measures of insulin resistance were linked to CVD and related death in a U-shaped pattern, with the highest group having different risk increases. Higher glucose triglyceride-waist height ratio (TyG-WHTR) was linked to higher all-cause mortality (UKBB: HR 1.21, 95%CI 1.16-1.26, NHANES: HR 1.17, 95%CI 1.00-1.36), CVD mortality (UKBB: HR 1.36, 95%CI 1.23-1.49, NHANES: HR 1.32, 95%CI 1.00-1.72) risks. In the China Pudong cohort, higher triglyceride/high-density lipoprotein-cholesterol (TG/HDL_C) ratio was associated with higher risks of CVD and stroke (HR 1.31, 95%CI 1.00-1.73 and 1.67, 1.06-2.63). Inflammation markers like systemic inflammatory response index (SIRI) and C-reactive protein (CRP) partially explained these links, with CRP having a stronger effect. Genetically predicted TyG was also linked to stroke (OR 1.26, 95%CI 1.10-1.45) risk.

CONCLUSIONS

An elevated TyG index and its related indices are significantly correlated with an increased risk of CVD and related mortality across three national cohorts. These indices are anticipated to serve as valid predictors of incident CVD and mortality in individuals with hypertension.

摘要

背景

在不同国家的高血压队列中,甘油三酯-葡萄糖指数(TyG)及其与肥胖指标的联合与心血管疾病(CVD)发病率和死亡率之间的关系仍有待阐明。

方法

本研究纳入了来自美国国家健康与营养检查调查(NHANES)、英国生物银行(UKBB)和上海浦东队列的9283名、164357名和5334名高血压患者。通过多变量Cox比例风险模型、广义相加模型和孟德尔随机化分析来定义CVD的相关结局。中介分析探讨了炎症标志物在上述关系中的中介作用。

结果

五种胰岛素抵抗指标与CVD及相关死亡呈U形关联,最高组的风险增加程度不同。较高的甘油三酯-腰围身高比(TyG-WHTR)与较高的全因死亡率相关(UKBB:风险比1.21,95%置信区间1.16-1.26;NHANES:风险比1.17,95%置信区间1.00-1.36),与CVD死亡率相关(UKBB:风险比1.36,95%置信区间1.23-1.49;NHANES:风险比1.32,95%置信区间1.00-1.72)。在中国浦东队列中,较高的甘油三酯/高密度脂蛋白胆固醇(TG/HDL_C)比值与CVD和中风的较高风险相关(风险比1.31,95%置信区间1.00-1.73;风险比1.67,95%置信区间1.06-2.63)。全身炎症反应指数(SIRI)和C反应蛋白(CRP)等炎症标志物部分解释了这些关联,其中CRP的作用更强。基因预测的TyG也与中风风险相关(比值比1.26,95%置信区间1.10-1.45)。

结论

TyG指数及其相关指标升高与三个国家队列中CVD风险增加及相关死亡率显著相关。这些指标有望作为高血压患者发生CVD和死亡的有效预测指标。

https://cdn.ncbi.nlm.nih.gov/pmc/blobs/5082/11716003/3930c8cb0c8b/12933_2024_2571_Fig1_HTML.jpg

文献AI研究员

20分钟写一篇综述,助力文献阅读效率提升50倍。

立即体验

用中文搜PubMed

大模型驱动的PubMed中文搜索引擎

马上搜索

文档翻译

学术文献翻译模型,支持多种主流文档格式。

立即体验