Suppr超能文献

美国中风幸存者中25-羟基维生素D浓度与身体活动对死亡率的综合影响:来自美国国家健康与营养检查调查(NHANES)的结果

Combined 25-hydroxyvitamin D concentrations and physical activity on mortality in US stroke survivors: findings from the NHANES.

作者信息

Liao Junqi, Chen Jingyi, Wu Huimin, Zhu Qing, Tang Xiaogang, Li Li, Zhang Aimei, Mo Peiyi, Liu Yan, Yang Xinyi, Han Yang, Chen Zhaoyao, Li Wenlei, Zhu Yuan, Wu Minghua

机构信息

Department of Neurology, Affiliated Hospital of Nanjing University of Chinese Medicine, 155 Hanzhong Road, Nanjing, 210029, China.

Department of Neurology, Jiangsu Province Hospital of Chinese Medicine, Nanjing, 210029, China.

出版信息

Nutr J. 2025 Jan 13;24(1):5. doi: 10.1186/s12937-025-01076-x.

Abstract

BACKGROUND

25-hydroxyvitamin D [25(OH)D] concentrations and physical activity (PA) are linked and both are associated with changes in mortality. We examined the association of 25(OH)D and PA with all-cause or cause-specific mortality risk in stroke survivors.

METHODS

The analysis included 677 stroke survivors from National Health and Nutrition Examination Survey (NHANES) 2007-2008 to 2017-2018. Independent and joint associations of 25(OH)D, PA and mortality among stroke survivors were analyzed using weighted Cox regression.

RESULTS

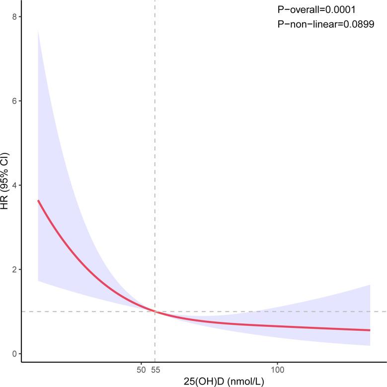
We identified 133 all-cause deaths [major adverse cardiovascular events (MACE), 34; non-MACE, 79] with a median follow-up of 5.8 years (interquartile, 2.8-8.9 years). In a range of adjusted models, high 25(OH)D was observed with lower all-cause mortality compared to low 25(OH)D (HR, 0.376; 95% CI, 0.233-0.607) and non-MACE (HR, 0.265; 95% CI, 0.143-0.490) mortality was consistently associated. At the same time, compared with no PA, PA was associated with a lower all-cause (HR, 0.280; 95%CI, 0.107-0.733) and non-MACE (HR, 0.266; 95%CI, 0.087-0.810) was associated with a lower risk of death. In addition, pooled analyses showed that stroke survivors with high 25(OH)D and PA had the lowest risk of all-cause death (HR, 0.132; 95%CI, 0.038-0.460) and non-MACE (HR, 0.092; 95%CI, 0.023-0.363), there is an additive interaction between 25(OH)D and PA in non-MACE.

CONCLUSION

In conclusion, this study found that combining high 25(OH)D levels and PA showed an enhanced protective effect which demonstrated a synergistic effect between them in reducing mortality among stroke survivors. These findings provide new ideas and possibilities for the prevention and treatment of cardiovascular and cerebrovascular diseases, offering a reference for development of clinical practice guidelines in the future.

摘要

背景

25-羟维生素D[25(OH)D]浓度与身体活动(PA)相关,且二者均与死亡率变化有关。我们研究了25(OH)D和PA与中风幸存者全因或特定病因死亡风险的关联。

方法

分析纳入了2007 - 2008年至2017 - 2018年美国国家健康与营养检查调查(NHANES)中的677名中风幸存者。使用加权Cox回归分析中风幸存者中25(OH)D、PA与死亡率的独立及联合关联。

结果

我们确定了133例全因死亡[主要不良心血管事件(MACE),34例;非MACE,79例],中位随访时间为5.8年(四分位间距,2.8 - 8.9年)。在一系列校正模型中,与低25(OH)D相比,高25(OH)D与较低的全因死亡率相关(风险比,0.376;95%置信区间,0.233 - 0.607),且与非MACE死亡率(风险比,0.265;95%置信区间,0.143 - 0.490)始终相关。同时,与无PA相比,PA与较低的全因死亡率(风险比,0.280;95%置信区间,0.107 - 0.733)相关,且与非MACE死亡率较低(风险比,0.266;95%置信区间,0.087 - 0.810)相关。此外,汇总分析表明,25(OH)D和PA水平均高的中风幸存者全因死亡风险最低(风险比,0.132;95%置信区间,0.038 - 0.460),非MACE死亡率最低(风险比,0.092;95%置信区间,0.023 - 0.363),在非MACE方面,25(OH)D与PA之间存在相加交互作用。

结论

总之,本研究发现25(OH)D水平高与PA相结合显示出增强的保护作用,表明它们在降低中风幸存者死亡率方面具有协同效应。这些发现为心脑血管疾病的防治提供了新的思路和可能性,为未来临床实践指南的制定提供了参考。

https://cdn.ncbi.nlm.nih.gov/pmc/blobs/6171/11731136/862115ca2adc/12937_2025_1076_Fig1_HTML.jpg

文献AI研究员

20分钟写一篇综述,助力文献阅读效率提升50倍。

立即体验

用中文搜PubMed

大模型驱动的PubMed中文搜索引擎

马上搜索

文档翻译

学术文献翻译模型,支持多种主流文档格式。

立即体验