Suppr超能文献

成年癌症幸存者中血清25(OH)D与CRP状态对癌症相关死亡率的交互作用。

Interaction effects between serum 25(OH)D and CRP status on cancer related mortality in adult cancer survivors.

作者信息

Zhang HuanRui, Dou BaoJun, Sun XiaoDi, Chen XiTao

机构信息

Department of Geriatric, The First Hospital of China Medical University, No.155 Nanjing North Street, Heping Ward, Shenyang, 110001, China.

Department of Management Sciences, City University of Hong Kong, Tat Chee Avenue, Kowloon Tong, Hong Kong, China.

出版信息

Sci Rep. 2025 Apr 28;15(1):14798. doi: 10.1038/s41598-025-95931-w.

Abstract

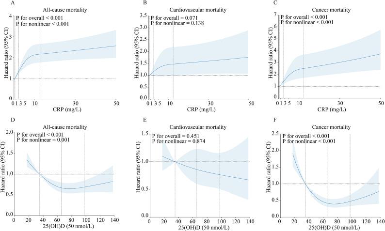
Vitamin D deficiency and elevated CRP (C-reactive protein) levels are independent indicators of risk for mortality in cancer survivors; however, their combined association with mortality has not been examined. This study included adult cancer survivors from four NHANES cycles (2003-2010), utilizing a multistage survey design. CRP levels were measured using a latex-enhanced turbidimetric assay, and serum 25(OH)D levels were assessed using RIA and LC-MS/MS methods. Mortality data were linked with the National Death Index up to 2019. The restricted cubic spline model was used to explore the nonlinear associations with mortality. Kaplan-Meier analysis was used to examine survival curve differences. Cox analysis was employed to assess mortality risk after adjusting for confounding factors, and interaction analysis was conducted. Of the 1619 adult cancer survivors (56.9% female; weighted age 64.91 ± 0.44 years), 762 deaths were recorded during the 17-year follow-up. Higher CRP and lower 25(OH)D levels were associated with increased risks of all-cause and cancer mortality. Joint analysis revealed the High CRP and Low VID group had the highest all-cause (HR 2.40, 95% CI 1.82-3.17) and cancer (HR 5.23, 95% CI 3.15-8.70) mortality risk compared to Low CRP and High VID group. Additionally, a multiplicative interaction between serum 25(OH)D and CRP factors on cancer mortality was observed (P = 0.049), indicating a synergistic effect of these two factors on cancer mortality. Sex and ethnicity subgroup analyses revealed that the High CRP and Low VID group exhibits the highest risk for all-cause and cancer mortality, findings that are consistent with those observed in the overall population. In cancer survivors, an elevated risk of cancer and all-cause mortality is linked to vitamin D deficiency and elevated levels of CRP. In particular, the interaction between these factors may impact cancer survivors' mortality related to cancers. Consequently, the risks may be significantly reduced through the use of anti-inflammatory medications as well as adequate intake of vitamin D.

摘要

维生素D缺乏和C反应蛋白(CRP)水平升高是癌症幸存者死亡风险的独立指标;然而,它们与死亡率的联合关联尚未得到研究。本研究纳入了来自四个国家健康与营养检查调查(NHANES)周期(2003 - 2010年)的成年癌症幸存者,采用多阶段调查设计。CRP水平采用乳胶增强比浊法测量,血清25(OH)D水平采用放射免疫分析(RIA)和液相色谱 - 串联质谱(LC - MS/MS)方法评估。死亡率数据与截至2019年的国家死亡指数相关联。使用受限立方样条模型探索与死亡率的非线性关联。采用Kaplan - Meier分析检查生存曲线差异。采用Cox分析评估调整混杂因素后的死亡风险,并进行交互作用分析。在1619名成年癌症幸存者中(56.9%为女性;加权年龄64.91±0.44岁),在17年的随访期间记录了762例死亡。较高的CRP水平和较低的25(OH)D水平与全因死亡率和癌症死亡率增加相关。联合分析显示,与低CRP和高维生素D组相比,高CRP和低维生素D组的全因死亡率(风险比[HR] 2.40,95%置信区间[CI] 1.82 - 3.17)和癌症死亡率(HR 5.23,95% CI 3.15 - 8.70)最高。此外,观察到血清25(OH)D和CRP因素对癌症死亡率存在相乘交互作用(P = 0.049),表明这两个因素对癌症死亡率具有协同作用。性别和种族亚组分析显示,高CRP和低维生素D组的全因死亡率和癌症死亡率风险最高,这一结果与总体人群中观察到的结果一致。在癌症幸存者中,癌症和全因死亡率风险升高与维生素D缺乏和CRP水平升高有关。特别是,这些因素之间的相互作用可能会影响癌症幸存者与癌症相关的死亡率。因此,通过使用抗炎药物以及充足摄入维生素D,风险可能会显著降低。

https://cdn.ncbi.nlm.nih.gov/pmc/blobs/15f3/12038049/660542d403f4/41598_2025_95931_Fig1_HTML.jpg

文献AI研究员

20分钟写一篇综述,助力文献阅读效率提升50倍。

立即体验

用中文搜PubMed

大模型驱动的PubMed中文搜索引擎

马上搜索

文档翻译

学术文献翻译模型,支持多种主流文档格式。

立即体验