Suppr超能文献

赤霞珠葡萄酒工业规模自然发酵过程中微生物群落多样性变化及风味代谢产物形成机制

Changes in Microbial Community Diversity and the Formation Mechanism of Flavor Metabolites in Industrial-Scale Spontaneous Fermentation of Cabernet Sauvignon Wines.

作者信息

Bai Chunyan, Fan Boyuan, Hao Jinmei, Yao Yuan, Ran Shiming, Wang Hua, Li Hua, Wei Ruteng

机构信息

College of Food Science and Engineering, Shanxi Agricultural University, No. 1, Mingxian South Road, Taigu District, Jinzhong 030801, China.

Beijing Hongxing Liuquxiang Co., Ltd., Liuquxiang Branch Company, Industrial Zone, Qixian, Jinzhong 030900, China.

出版信息

Foods. 2025 Jan 14;14(2):235. doi: 10.3390/foods14020235.

Abstract

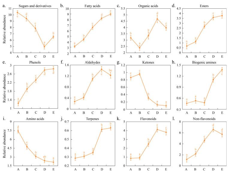
The key flavor compound formation pathways resulting from indigenous microorganisms during the spontaneous fermentation of wine have not been thoroughly described. In this study, high-throughput metagenomic sequencing and untargeted metabolomics were utilized to investigate the evolution of microbial and metabolite profiles during spontaneous fermentation in industrial-scale wine production and to elucidate the formation mechanisms of key flavor compounds. Metabolome analysis showed that the total amount of esters, fatty acids, organic acids, aldehydes, terpenes, flavonoids, and non-flavonoids increased gradually during fermentation. Enrichment analysis indicated that metabolic pathways related to the synthesis, decomposition, transformation, and utilization of sugars, amino acids, and fatty acids were involved in the formation of key flavor compounds in wine. Metagenomic analysis revealed that , , , , , and were the dominant taxa during spontaneous fermentation. They were significantly positively correlated with organic acids, fatty acids, esters, phenols, aldehydes, terpenes, and phenols. In conclusion, this research provides new insights into the metabolic pathways of key flavor compounds formed by indigenous microorganisms during wine fermentation.

摘要

葡萄酒自然发酵过程中由本土微生物产生关键风味化合物的形成途径尚未得到充分描述。在本研究中,利用高通量宏基因组测序和非靶向代谢组学来研究工业规模葡萄酒生产中自然发酵过程中微生物和代谢物谱的演变,并阐明关键风味化合物的形成机制。代谢组分析表明,酯类、脂肪酸、有机酸、醛类、萜类、黄酮类和非黄酮类化合物的总量在发酵过程中逐渐增加。富集分析表明,与糖、氨基酸和脂肪酸的合成、分解、转化和利用相关的代谢途径参与了葡萄酒中关键风味化合物的形成。宏基因组分析显示, 、 、 、 、 和 是自然发酵过程中的优势类群。它们与有机酸、脂肪酸、酯类、酚类、醛类、萜类和酚类显著正相关。总之,本研究为葡萄酒发酵过程中本土微生物形成关键风味化合物的代谢途径提供了新的见解。

https://cdn.ncbi.nlm.nih.gov/pmc/blobs/7b21/11764576/557bdc6e1b7f/foods-14-00235-g001.jpg

文献AI研究员

20分钟写一篇综述,助力文献阅读效率提升50倍。

立即体验

用中文搜PubMed

大模型驱动的PubMed中文搜索引擎

马上搜索

文档翻译

学术文献翻译模型,支持多种主流文档格式。

立即体验