Suppr超能文献

转录组分析揭示早期胚胎中阶段特异性基因的表达模式。

Transcriptomic Analysis Reveals Patterns of Expression of Stage-Specific Genes in Early Embryos.

作者信息

Su Runlang, Chen Yuhui, Zhu Rui, Ding Guiling, Dong Kun, Feng Mao, Huang Jiaxing

机构信息

College of Animal Science and Technology, Yunnan Agricultural University, Kunming 650201, China.

State Key Laboratory of Resource Insects, Chinese Academy of Agricultural Sciences, Beijing 100093, China.

出版信息

Genes (Basel). 2025 Feb 3;16(2):187. doi: 10.3390/genes16020187.

Abstract

BACKGROUND/OBJECTIVES: development is described as comprising four stages: embryo, larva, pupa, and adult. There are significant differences between workers and drones in terms of physiological functions and social roles, and the formation of the organ primordia occurs during the embryonic stage. Therefore, the objective of this study is to investigate the differential expression of and alternative splicing of genes in worker and drone embryos and to explain their unique developmental patterns.

METHODS

Long-read sequencing (PacBio Iso-Seq) and short-read sequencing (Illumina RNA-Seq) were used to investigate worker and drone embryo gene expression differences in across five developmental points (12, 24, 36, 48, and 60 h).

RESULTS

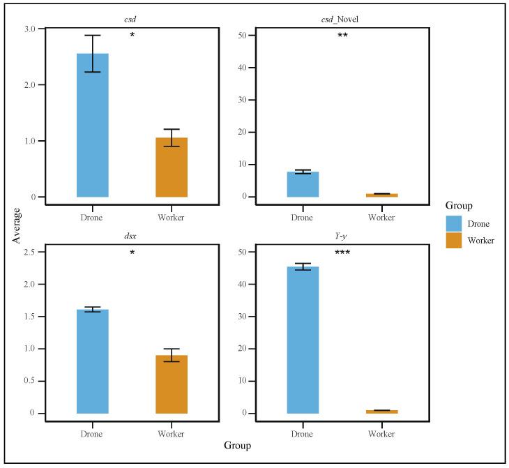
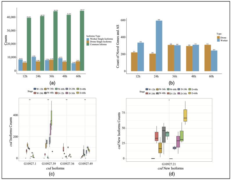
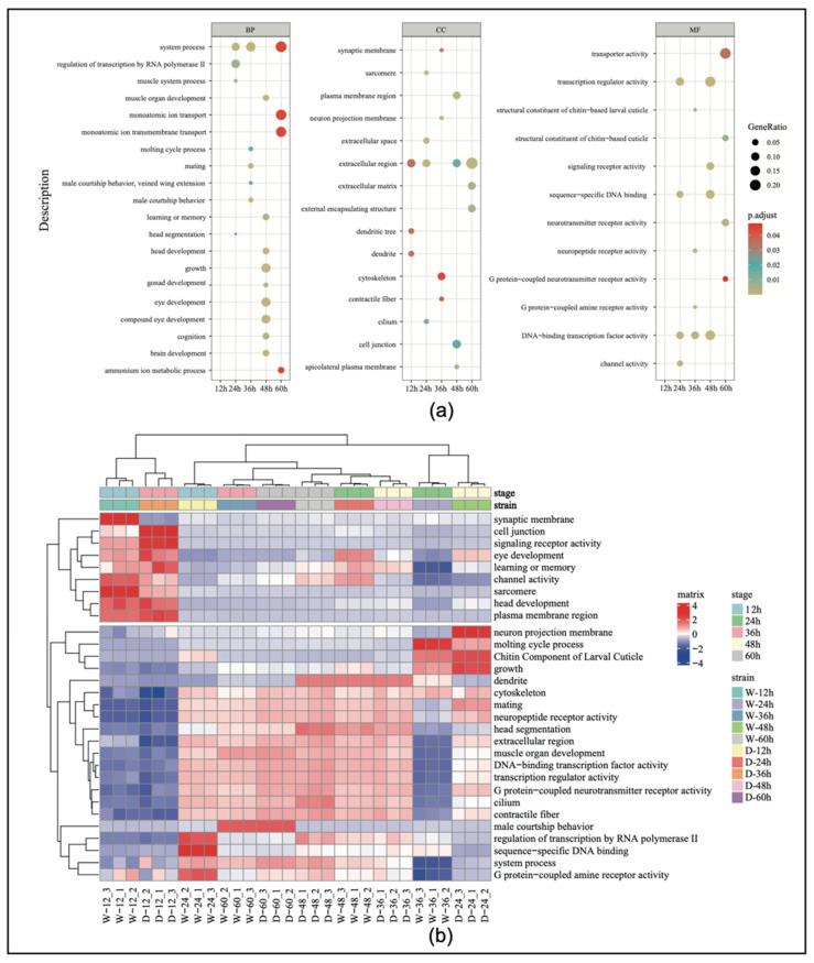
The study identified 59,254 common isoforms, with 5744 and 5106 isoforms specific to worker and drone embryos, respectively. Additionally, a new transcript of the gene was identified. The number of differentially expressed genes (3391) and differential splicing events (470 genes) peaked at the 24-h embryonic stage. Differential splicing events of , , and were observed in the worker and drone embryos.

CONCLUSIONS

The gene expression results indicated that the 24-h embryonic point is a critical period for the expression of genes related to developmental and behavioral differences between workers and drones. The findings provide a theoretical basis for future research on the developmental differences between workers and drones.

摘要

背景/目的:发育过程被描述为包括四个阶段:胚胎、幼虫、蛹和成虫。工蜂和雄蜂在生理功能和社会角色方面存在显著差异,器官原基的形成发生在胚胎阶段。因此,本研究的目的是调查工蜂和雄蜂胚胎中基因的差异表达和可变剪接,并解释它们独特的发育模式。

方法

使用长读长测序(PacBio Iso-Seq)和短读长测序(Illumina RNA-Seq)来研究工蜂和雄蜂胚胎在五个发育时间点(12、24、36、48和60小时)的基因表达差异。

结果

该研究鉴定出59,254个常见异构体,其中分别有5744个和5106个异构体是工蜂和雄蜂胚胎特有的。此外,还鉴定出了该基因的一个新转录本。差异表达基因(3391个)和差异剪接事件(470个基因)的数量在胚胎24小时阶段达到峰值。在工蜂和雄蜂胚胎中观察到了、和的差异剪接事件。

结论

基因表达结果表明,胚胎24小时阶段是与工蜂和雄蜂发育及行为差异相关基因表达的关键时期。这些发现为未来研究工蜂和雄蜂的发育差异提供了理论基础。

https://cdn.ncbi.nlm.nih.gov/pmc/blobs/b066/11855871/3a65b7643b7a/genes-16-00187-g001.jpg

文献AI研究员

20分钟写一篇综述,助力文献阅读效率提升50倍。

立即体验

用中文搜PubMed

大模型驱动的PubMed中文搜索引擎

马上搜索

文档翻译

学术文献翻译模型,支持多种主流文档格式。

立即体验