Suppr超能文献

城市、农村、森林环境中微塑料的大气沉降:以图拉梅拉地方市政当局为例

Atmospheric deposition of microplastics in urban, rural, forest environments: A case study of Thulamela Local Municipality.

作者信息

Mutshekwa Thendo, Mulaudzi Fulufhelo, Maiyana Vuledzani P, Mofu Lubabalo, Munyai Linton F, Murungweni Florence M

机构信息

Department of Freshwater Invertebrates, Albany Museum, Makhanda, South Africa.

Institute of Water Research, Rhodes University, Makhanda (Grahamstown), South Africa.

出版信息

PLoS One. 2025 Mar 3;20(3):e0313840. doi: 10.1371/journal.pone.0313840. eCollection 2025.

Abstract

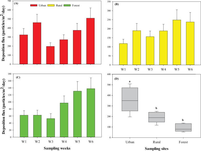
Microplastic (MP) pollution, a pressing environmental issue globally, has received considerable attention in marine, freshwater and terrestrial environments. However, studies on the deposition of airborne MPs, particularly in Southern African regions, have received less attention. As such, the current study aimed at investigating the atmospheric deposition of MPs across three different environments, namely urban, rural and forest in the Thulamela Local Municipality, Limpopo, South Africa. We hypothesised that MP deposition will exhibit significant differences between different environments, with the urban environment having the highest MP deposition fluxes due to the dense population in the area and high human activities. The study results showed that MP deposition fluxes varied significantly across the environments, ranging from 90.51 ± 15.19 - 355.64 ± 47.65 particles/m2/day, with an overall average of 211.87 ± 31.44 particles/m2/day. The highest deposition was recorded in urban environment, while the lowest was observed in the forested environment. The overall deposited MPs were mainly transparent fibres and polyethylene terephthalate (PET). Furthermore, MP deposition found in the forest environment demonstrated a strong positive correlation with rainfall, suggesting that rainfall events play a significant role in the transporting and deposition of MP. The study further shed light on the possible fate of urban and rural atmospheric deposition, which has implications for pristine environments, indicating the transport and potential ecological impacts of MP pollution even in less populated and isolated environments.

摘要

微塑料(MP)污染是一个全球紧迫的环境问题,在海洋、淡水和陆地环境中已受到相当多的关注。然而,关于空气中微塑料的沉积研究,特别是在南部非洲地区,却较少受到关注。因此,本研究旨在调查南非林波波省图拉梅拉地方市三种不同环境(即城市、农村和森林)中的微塑料大气沉积情况。我们假设微塑料沉积在不同环境之间会表现出显著差异,由于该地区人口密集和人类活动频繁,城市环境中的微塑料沉积通量最高。研究结果表明,微塑料沉积通量在不同环境中差异显著,范围为90.51±15.19 - 355.64±47.65颗粒/平方米/天,总体平均为211.87±31.44颗粒/平方米/天。城市环境中的沉积量最高,而森林环境中的沉积量最低。总体沉积的微塑料主要是透明纤维和聚对苯二甲酸乙二酯(PET)。此外,在森林环境中发现的微塑料沉积与降雨呈强正相关,这表明降雨事件在微塑料的运输和沉积中起着重要作用。该研究进一步揭示了城市和农村大气沉积物的可能归宿,这对原始环境具有影响,表明即使在人口较少和偏远的环境中,微塑料污染也存在运输和潜在的生态影响。

https://cdn.ncbi.nlm.nih.gov/pmc/blobs/1bd9/11875349/3f21cbacd24a/pone.0313840.g001.jpg

文献AI研究员

20分钟写一篇综述,助力文献阅读效率提升50倍。

立即体验

用中文搜PubMed

大模型驱动的PubMed中文搜索引擎

马上搜索

文档翻译

学术文献翻译模型,支持多种主流文档格式。

立即体验