Suppr超能文献

孟加拉国达卡冬季室内沉积灰尘中空气传播微塑料的人体吸入暴露评估。

Human inhalation exposure assessment of the airborne microplastics from indoor deposited dusts during winter in Dhaka, Bangladesh.

作者信息

Islam Md Zubayer, Zaman Shahid Uz, Sami Nafis Ibtida, Roy Shatabdi, Jeba Farah, Islam Md Safiqul, Salam Abdus

机构信息

Department of Chemistry, Faculty of Science, University of Dhaka, Dhaka, 1000, Bangladesh.

Department of Chemistry, Faculty of Science, Bangladesh University of Engineering and Technology, Dhaka, 1000, Bangladesh.

出版信息

Heliyon. 2024 Aug 17;10(16):e36449. doi: 10.1016/j.heliyon.2024.e36449. eCollection 2024 Aug 30.

Abstract

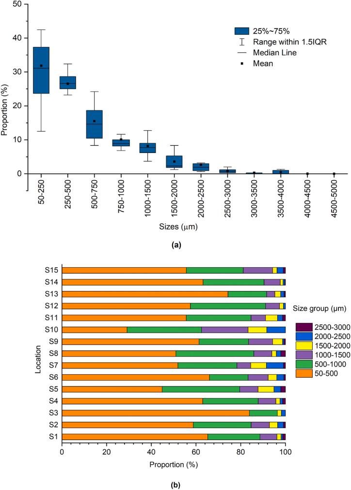
Microplastic (MP) contamination has become a concern due to its ubiquitous presence. Recent studies have found MPs to be present in multiple human organs. This study was carried out to evaluate the presence and characterize MPs in indoor dust deposition. Deposited dust was collected from fifteen households in Dhaka city. The samples underwent quantification of MPs using stereomicroscopy. Fourier Transform Infrared (FTIR) spectroscopy was performed to understand the polymer composition. MPs of the size group ranging from 50 to 250 μm were the most dominant. The deposition rates varied from 7.52 × 10³ MPs/m/day to 66.29 × 10³ MPs/m/day, with the mean deposition rate being 34 × 10³ MPs/m/day. Notably, the number of occupants and the height of the sampling location above the ground level were found to influence the deposition rates. Various polymers, including polyester (PET), polyethylene (PE), Nylon, and polypropylene (PP), were identified. The estimated mean inhalation exposure was 2986 ± 1035 MPs/kg-BW/day. This work highlights the need for additional research to explore indoor microplastic deposition and its potential effect on human health in the densely inhabited and severely polluted megapolis of Dhaka, Bangladesh.

摘要

由于微塑料(MP)无处不在,其污染已成为一个令人担忧的问题。最近的研究发现微塑料存在于人体多个器官中。本研究旨在评估室内灰尘沉积物中微塑料的存在情况并对其进行表征。从达卡市的15户家庭收集沉积灰尘。使用体视显微镜对样品中的微塑料进行定量。通过傅里叶变换红外(FTIR)光谱来了解聚合物组成。尺寸范围在50至250μm的微塑料最为常见。沉积速率从7.52×10³个微塑料/平方米/天到66.29×10³个微塑料/平方米/天不等,平均沉积速率为34×10³个微塑料/平方米/天。值得注意的是,发现居住人数和采样位置距地面的高度会影响沉积速率。已识别出包括聚酯(PET)、聚乙烯(PE)、尼龙和聚丙烯(PP)在内的各种聚合物。估计的平均吸入暴露量为2986±1035个微塑料/千克体重/天。这项工作凸显了在孟加拉国人口密集且污染严重的大都市达卡开展更多研究以探索室内微塑料沉积及其对人类健康潜在影响的必要性。

https://cdn.ncbi.nlm.nih.gov/pmc/blobs/b2d3/11381766/4b59842ae08b/ga1.jpg

文献AI研究员

20分钟写一篇综述,助力文献阅读效率提升50倍。

立即体验

用中文搜PubMed

大模型驱动的PubMed中文搜索引擎

马上搜索

文档翻译

学术文献翻译模型,支持多种主流文档格式。

立即体验