Suppr超能文献

心脏代谢疾病患者的循环线粒体DNA特征

Circulating mitochondrial DNA signature in cardiometabolic patients.

作者信息

Mengozzi Alessandro, Armenia Silvia, De Biase Nicolò, Punta Lavinia Del, Cappelli Federica, Duranti Emiliano, Nannipieri Virginia, Remollino Rossana, Tricò Domenico, Virdis Agostino, Taddei Stefano, Pugliese Nicola Riccardo, Masi Stefano

机构信息

Department of Clinical and Experimental Medicine, University of Pisa, Via Roma 67, 56124, Pisa, Italy.

Center for Translational and Experimental Cardiology (CTEC), Department of Cardiology, University Hospital Zurich, University of Zurich, Zurich, Switzerland.

出版信息

Cardiovasc Diabetol. 2025 Mar 5;24(1):106. doi: 10.1186/s12933-025-02656-1.

Abstract

BACKGROUND

Mitochondrial dysfunction is a hallmark of cardiometabolic diseases. Circulating mitochondrial DNA (mtDNA) profiles could refine risk stratification, but current methods do not account for different fractions of circulating mtDNA. We investigated whether patients with type 2 diabetes and/or heart failure (HF) have a specific signature of the total circulating mtDNA profile, including intracellular and cell-free fractions.

METHODS

We performed a complete clinical assessment, including blood tests, 12-lead ECG and ultrasound at rest and during cardiopulmonary exercise. Ultrasound congestion was defined at rest as inferior vena cava of ≥ 21 mm, lung B-lines ≥ 4, or discontinuous renal venous flow. In fasting whole blood and plasma samples collected at rest, we simultaneously measured the copy number of the cellular and cell-free components of mtDNA by real-time quantitative polymerase chain reaction (qPCR) using custom standards. We calculated the ratio of cell mtDNA to cell-free mtDNA as an index of mitochondrial efficiency.

RESULTS

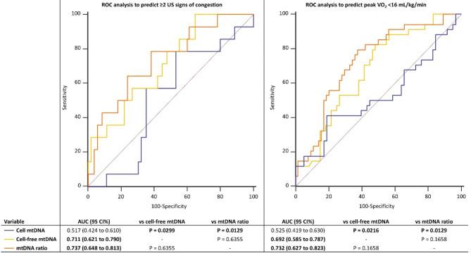
We enrolled 120 consecutive patients: 50 (42%) with HF and preserved ejection fraction (HFpEF), 40 (33%) with HF and reduced ejection fraction (HFrEF) and 30 (25%) at risk of developing HF; 42/120 (35%) had diabetes. Cell-free mtDNA was increased in patients with HF (with higher levels in HFrEF than HFpEF) and those with diabetes. Cell-free mtDNA was also higher in patients with systemic inflammation (expressed by high-sensitivity C-reactive protein [hs-CRP] ≥ 0.2 mg/dL with neutrophil-lymphocyte ratio [NLR] > 3) and more ultrasound signs of congestion. The cell/cell-free mtDNA ratio showed opposite trends (all p < 0.05), but there were no significant differences in cell mtDNA. Cell-free mtDNA and mtDNA ratio independently predicted the presence of ≥ 2 ultrasound signs of congestion and effort intolerance (peak oxygen consumption < 16 mL/kg/min) at ROC analysis and using multivariable regressions after adjustment for age, sex, hs-CRP, NLR, high-sensitivity Troponin T and NT-proBNP.

CONCLUSIONS

Patients with HF and diabetes have an altered circulating mtDNA signature characterised by higher cell-free mtDNA and lower mtDNA ratio, whereas cellular mtDNA remains unaffected. Cell-free mtDNA and mtDNA ratio are associated with impaired response to exercise, higher systemic inflammation and increased congestion. Circulating mitochondrial profile could be a new biomarker of mitochondrial status in cardiometabolic diseases.

摘要

背景

线粒体功能障碍是心脏代谢疾病的一个标志。循环线粒体DNA(mtDNA)谱可优化风险分层,但目前的方法未考虑循环mtDNA的不同组分。我们调查了2型糖尿病和/或心力衰竭(HF)患者的循环mtDNA总谱是否具有特定特征,包括细胞内和无细胞组分。

方法

我们进行了全面的临床评估,包括血液检查、静息及心肺运动时的12导联心电图和超声检查。静息时超声充血定义为下腔静脉≥21mm、肺部B线≥4条或肾静脉血流不连续。在静息时采集的空腹全血和血浆样本中,我们使用定制标准通过实时定量聚合酶链反应(qPCR)同时测量mtDNA的细胞内和无细胞组分的拷贝数。我们计算细胞mtDNA与无细胞mtDNA的比率作为线粒体效率指标。

结果

我们连续纳入了120例患者:50例(42%)射血分数保留的心力衰竭(HFpEF)患者、40例(33%)射血分数降低的心力衰竭(HFrEF)患者和30例(25%)有发生心力衰竭风险的患者;120例中有42例(35%)患有糖尿病。HF患者(HFrEF患者中的水平高于HFpEF患者)和糖尿病患者的无细胞mtDNA增加。全身炎症患者(以高敏C反应蛋白[hs-CRP]≥0.2mg/dL且中性粒细胞与淋巴细胞比率[NLR]>3表示)和有更多超声充血征象的患者的无细胞mtDNA也更高。细胞/无细胞mtDNA比率呈现相反趋势(均p<0.05),但细胞mtDNA无显著差异。在受试者工作特征(ROC)分析以及在调整年龄、性别、hs-CRP、NLR、高敏肌钙蛋白T和N末端脑钠肽前体(NT-proBNP)后使用多变量回归分析时,无细胞mtDNA和mtDNA比率独立预测存在≥2条超声充血征象和运动不耐受(峰值耗氧量<16mL/kg/min)。

结论

HF和糖尿病患者的循环mtDNA特征发生改变,其特点是无细胞mtDNA水平较高且mtDNA比率较低,而细胞mtDNA未受影响。无细胞mtDNA和mtDNA比率与运动反应受损、全身炎症增加和充血增加相关。循环线粒体谱可能是心脏代谢疾病中线粒体状态的一种新生物标志物。

https://cdn.ncbi.nlm.nih.gov/pmc/blobs/9290/11884014/d5902c682a28/12933_2025_2656_Fig1_HTML.jpg

文献AI研究员

20分钟写一篇综述,助力文献阅读效率提升50倍。

立即体验

用中文搜PubMed

大模型驱动的PubMed中文搜索引擎

马上搜索

文档翻译

学术文献翻译模型,支持多种主流文档格式。

立即体验