Suppr超能文献

两种白蜡树属植物对干旱及恢复的比较表型、生理和转录组反应

Comparative phenotypic, physiological, and transcriptomic responses to drought and recovery in two Fraxinus species.

作者信息

Kim Tae-Lim, Lim Hyemin, Lee Kyungmi, Denison Michael Immanuel Jesse, Natarajan Sathishkumar, Oh Changyoung

机构信息

Department of Forest Bioresources, National Institute of Forest Science, Suwon, 16631, Korea.

3BIGS CO. Ltd, Hwaseong, 18469, Republic of Korea.

出版信息

BMC Plant Biol. 2025 Mar 18;25(1):348. doi: 10.1186/s12870-025-06372-6.

Abstract

BACKGROUND

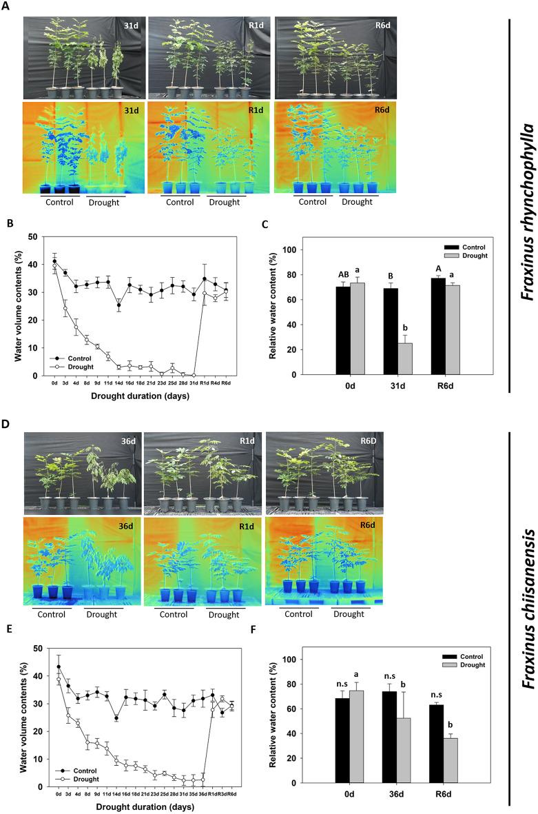
This study focused on the drought tolerance and resilience of two ash species: Fraxinus chiisanensis and F. rhynchophylla. These two species are distributed in different habitats, suggesting that they have different levels of drought tolerance. Understanding their response to drought stress, particularly during the seedling stage, is crucial for selecting and developing drought-resistant varieties. This study aimed to compare the phenotypic, physiological, and transcriptomic characteristics of drought-stressed and recovered rewatered plants in a time-course experiment.

RESULTS

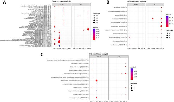
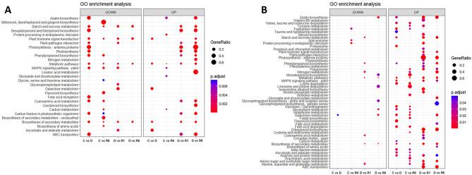
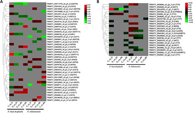
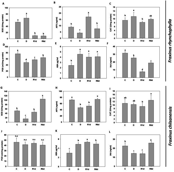
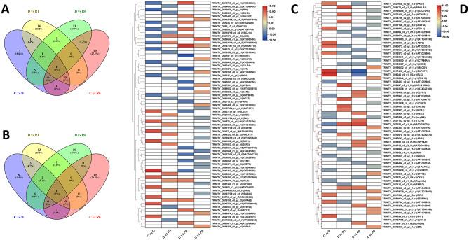
In F. rhynchophylla, drought stress resulted in more severe growth retardation, temperature increase, and a faster decline in the fluorescence response, accompanied by a significant rise in stress indices. However, these reactions recovered quickly after rehydration. In contrast, F. chiisanensis exhibited less growth retardation, a slower decline in fluorescence, and milder increases in stress indices, although many individuals did not fully recover after rehydration. The activity of antioxidant enzymes (SOD, CAT, APX) was more responsive and recovered more efficiently in F. rhynchophylla, while F. chiisanensis had a weaker and delayed response. Transcriptome analysis revealed that photosynthesis and enzyme activity were the most responsive to drought and recovery, as shown by Gene Ontology term analysis. Kyoto Encyclopedia of Genes and Genomes pathway analysis identified common pathways involved in starch and sucrose metabolism and phenylpropanoid biosynthesis in both species. F. rhynchophylla had more differentially expressed genes (DEGs) than F. chiisanensis, particularly on the drought and recovery day 6. Most drought-induced DEGs were restored after rehydration. Commonly associated genes included BGLU and TPS in sugar metabolism; CAT, GSTF, TT7, and HCT in antioxidant enzymes; PYL4 and RR17 in hormone signaling; and ADC1 and ASP3 in proline synthesis.

CONCLUSIONS

This study highlights the species-specific characteristics of drought and recovery responses of two Fraxinus species and provides targets for assessing and improving drought tolerance. Moreover, the results of this study provide insights into the physiological and genetic responses of Fraxinus and may guide future research on ash tree stress tolerance.

摘要

背景

本研究聚焦于两种白蜡树(千山野白蜡树和水曲柳)的耐旱性和恢复力。这两个物种分布于不同的栖息地,表明它们具有不同程度的耐旱性。了解它们对干旱胁迫的响应,尤其是在幼苗期的响应,对于选择和培育抗旱品种至关重要。本研究旨在通过一项时间进程实验,比较干旱胁迫及复水恢复后的植株的表型、生理和转录组特征。

结果

在水曲柳中,干旱胁迫导致更严重的生长迟缓、温度升高以及荧光响应更快下降,同时胁迫指标显著上升。然而,复水后这些反应迅速恢复。相比之下,千山野白蜡树生长迟缓较轻,荧光下降较慢,胁迫指标上升较温和,尽管许多个体在复水后未完全恢复。抗氧化酶(超氧化物歧化酶、过氧化氢酶、抗坏血酸过氧化物酶)的活性在水曲柳中响应更迅速且恢复更有效,而千山野白蜡树的响应较弱且延迟。转录组分析表明,如基因本体论术语分析所示,光合作用和酶活性对干旱及恢复最为敏感。京都基因与基因组百科全书通路分析确定了两个物种中参与淀粉和蔗糖代谢以及苯丙烷生物合成的共同通路。水曲柳比千山野白蜡树有更多的差异表达基因,特别是在干旱和恢复的第6天。大多数干旱诱导的差异表达基因在复水后恢复。常见的相关基因包括糖代谢中的β-葡萄糖苷酶和海藻糖磷酸合酶;抗氧化酶中的过氧化氢酶、谷胱甘肽转移酶F、TT7和羟基肉桂酰转移酶;激素信号传导中的PYL4和RR17;以及脯氨酸合成中的精氨酸脱羧酶1和天冬氨酸酶3。

结论

本研究突出了两种白蜡树物种在干旱和恢复响应方面的物种特异性特征,并为评估和提高耐旱性提供了靶点。此外,本研究结果为白蜡树的生理和遗传响应提供了见解,并可能指导未来关于白蜡树胁迫耐受性的研究。

https://cdn.ncbi.nlm.nih.gov/pmc/blobs/6ea6/11916329/b7f929d67078/12870_2025_6372_Fig1_HTML.jpg

文献AI研究员

20分钟写一篇综述,助力文献阅读效率提升50倍。

立即体验

用中文搜PubMed

大模型驱动的PubMed中文搜索引擎

马上搜索

文档翻译

学术文献翻译模型,支持多种主流文档格式。

立即体验