Suppr超能文献

靶向呼吸道病毒:鼻内mRNA疫苗在产生针对甲型H1N1流感的保护性黏膜和全身免疫方面的效果

Targeting Respiratory Viruses: The Efficacy of Intranasal mRNA Vaccination in Generating Protective Mucosal and Systemic Immunity Against Influenza A (H1N1).

作者信息

Yahyaei Sara, Abdoli Asghar, Jamali Abbas, Teimoori Ali, Arefian Ehsan, Eftekhari Zohre, Jamur Parisa

机构信息

Hepatitis and AIDS Department, Pasteur Institute of Iran, Tehran, Iran.

Student Research Committee, Pasteur Institute of Iran, Tehran, Iran.

出版信息

Influenza Other Respir Viruses. 2025 Mar;19(3):e70093. doi: 10.1111/irv.70093.

Abstract

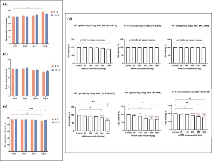
Four significant influenza outbreaks have occurred over the past 100 years, and the 1918 influenza pandemic is the most severe. Since influenza viruses undergo antigenic evolution, they are the pathogens most likely to trigger a new pandemic shortly. Intranasal vaccination offers a promising strategy for preventing diseases triggered by respiratory viruses by eliciting an immunoglobulin A (IgA) response, limiting virus replication and transmission from the respiratory tract more efficiently than intramuscular vaccines. Combining intranasal administration and mRNA-lipid nanoparticles can be an ideal strategy for limiting the extent of the next flu pandemic. This study explored the immunogenicity of intranasally delivered mRNA encapsulated in mannose-histidine-conjugated chitosan lipid nanoparticles (MHCS-LNPs) as a vaccine against influenza A (H1N1) in BALB/c mice. Intranasal administration of mRNA-MHCS-LNPs resulted in the generation of influenza A (H1N1) hemagglutinin-specific neutralizing antibodies in vaccinated animals. The enzyme-linked immunosorbent assay (ELISA) results indicated a notable increase in the quantity of immunoglobulin G (IgG) and IgA antibodies in serum and the bronchoalveolar lavage fluid (BALF), respectively, and exhibited influenza A-specific IFN-γ secretion in vaccinated mice, as well as a noticeable alteration in IL-5 production. Overall, this study demonstrated an effective immunogenic response against respiratory viral infections through intranasal delivery of an mRNA-MHCS-LNP vaccine.

摘要

在过去100年里发生了四次重大流感疫情,1918年的流感大流行最为严重。由于流感病毒会发生抗原进化,它们是最有可能在短期内引发新的大流行的病原体。鼻内接种疫苗通过引发免疫球蛋白A(IgA)反应,比肌肉注射疫苗更有效地限制病毒在呼吸道的复制和传播,为预防呼吸道病毒引发的疾病提供了一种有前景的策略。将鼻内给药与mRNA-脂质纳米颗粒相结合可能是限制下一次流感大流行规模的理想策略。本研究探讨了包裹在甘露糖-组氨酸共轭壳聚糖脂质纳米颗粒(MHCS-LNPs)中的鼻内递送mRNA作为抗甲型流感(H1N1)疫苗在BALB/c小鼠中的免疫原性。鼻内给予mRNA-MHCS-LNPs导致接种动物体内产生甲型流感(H1N1)血凝素特异性中和抗体。酶联免疫吸附测定(ELISA)结果表明,血清和支气管肺泡灌洗液(BALF)中免疫球蛋白G(IgG)和IgA抗体的量分别显著增加,接种疫苗的小鼠表现出甲型流感特异性干扰素-γ分泌,以及白细胞介素-5产生的明显变化。总体而言,本研究证明了通过鼻内递送mRNA-MHCS-LNP疫苗对呼吸道病毒感染产生有效的免疫原性反应。

https://cdn.ncbi.nlm.nih.gov/pmc/blobs/60fc/11932742/793cda1d57be/IRV-19-e70093-g004.jpg

文献AI研究员

20分钟写一篇综述,助力文献阅读效率提升50倍。

立即体验

用中文搜PubMed

大模型驱动的PubMed中文搜索引擎

马上搜索

文档翻译

学术文献翻译模型,支持多种主流文档格式。

立即体验