Suppr超能文献

激活素A抑制肽通过靶向特发性肺纤维化中的上皮-间质转化和成纤维细胞-肌成纤维细胞转化来抑制纤维化途径。

Activin A Inhibitory Peptides Suppress Fibrotic Pathways by Targeting Epithelial-Mesenchymal Transition and Fibroblast-Myofibroblast Transformation in Idiopathic Pulmonary Fibrosis.

作者信息

Bastos Victor Alexandre F, Fujimura Patrícia Tiemi, Souza Aline Gomes de, Vaz Emília Rezende, Saito Natieli, Sabino-Silva Robinson, Goulart Luiz Ricardo, Cunha Thulio Marquez

机构信息

Laboratory of Experimental Biotechnology, Institute of Biotechnology, Federal University of Uberlândia, Uberlândia 38402-022, MG, Brazil.

Laboratory of Nanobiotechnology-Prof. Dr. Luiz Ricardo Goulart Filho, Institute of Biotechnology, Federal University of Uberlândia, Uberlândia 38402-022, MG, Brazil.

出版信息

Int J Mol Sci. 2025 Mar 17;26(6):2705. doi: 10.3390/ijms26062705.

Abstract

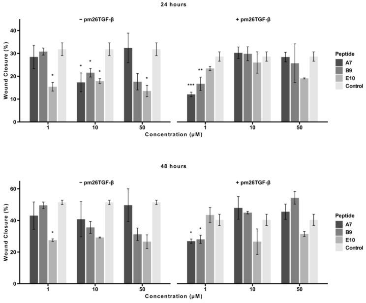
Idiopathic pulmonary fibrosis (IPF) is a progressive and incurable chronic interstitial lung disease characterized by excessive fibrosis and impaired lung function. Current treatments, such as pirfenidone and nintedanib, slow disease progression but fail to halt or reverse fibrosis, highlighting the need for novel approaches. Activin A, which belongs to the TGF-β superfamily, is implicated in various fibrosis-related mechanisms, including epithelial-mesenchymal transition (EMT), a process where epithelial cells acquire mesenchymal characteristics, and fibroblast-myofibroblast transformation (FMT), in which fibroblasts differentiate into contractile myofibroblasts. It also promotes inflammatory cytokine release and extracellular matrix buildup. This study aimed to inhibit Activin A activity using synthetic peptides identified through phage display screening. Of the ten peptides isolated, A7, B9, and E10 demonstrated high binding affinity and inhibitory activity. Computational modeling confirmed that these peptides target the receptor-binding domain of Activin A, with peptide E10 exhibiting superior efficacy. Functional assays showed that E10 reduced cell migration, inhibited EMT in A549 cells, and suppressed FMT in fibroblast cultures, even under pro-fibrotic stimulation with TGF-β. These findings underscore the therapeutic potential of targeting Activin A with synthetic peptides, offering a promising avenue for IPF treatment and expanding the arsenal of anti-fibrotic strategies.

摘要

特发性肺纤维化(IPF)是一种进行性且无法治愈的慢性间质性肺疾病,其特征为过度纤维化和肺功能受损。目前的治疗方法,如吡非尼酮和尼达尼布,虽能减缓疾病进展,但无法阻止或逆转纤维化,这凸显了采用新方法的必要性。激活素A属于转化生长因子-β超家族,参与多种与纤维化相关的机制,包括上皮-间质转化(EMT),即上皮细胞获得间质特征的过程,以及成纤维细胞-肌成纤维细胞转化(FMT),其中成纤维细胞分化为收缩性肌成纤维细胞。它还能促进炎性细胞因子释放和细胞外基质积聚。本研究旨在利用通过噬菌体展示筛选鉴定出的合成肽抑制激活素A的活性。在分离出的十种肽中,A7、B9和E10表现出高结合亲和力和抑制活性。计算模型证实这些肽靶向激活素A的受体结合域,其中肽E10表现出更高的效力。功能测定表明,即使在转化生长因子-β的促纤维化刺激下,E10也能减少细胞迁移,抑制A549细胞中的EMT,并抑制成纤维细胞培养物中的FMT。这些发现强调了用合成肽靶向激活素A的治疗潜力,为IPF治疗提供了一条有前景的途径,并扩展了抗纤维化策略的范围。

https://cdn.ncbi.nlm.nih.gov/pmc/blobs/e60a/11942258/e266de046a19/ijms-26-02705-g001.jpg

文献AI研究员

20分钟写一篇综述,助力文献阅读效率提升50倍。

立即体验

用中文搜PubMed

大模型驱动的PubMed中文搜索引擎

马上搜索

文档翻译

学术文献翻译模型,支持多种主流文档格式。

立即体验