Suppr超能文献

术前全免疫炎症指标和白蛋白与球蛋白比值可预测Ⅰ-Ⅲ期结直肠癌的预后。

Preoperative pan-immuno-inflammatory values and albumin-to-globulin ratio predict the prognosis of stage I-III colorectal cancer.

作者信息

Li Kejin, Chen Yi, Zhang Ziyi, Wang Kuan, Sulayman Subinur, Zeng Xiangyue, Ababaike Saibihutula, Guan Junmin, Zhao Zeliang

机构信息

Department of Gastrointestinal Surgery, The Affiliated Cancer Hospital of Xinjiang Medical University, Ürümqi, 830011, China.

Xinjiang Key Laboratory of Oncology, Department of Breast and Thyroid Surgery, The Affiliated Cancer Hospital of Xinjiang Medical University, Ürümqi, 830011, Xinjiang Uygur Autonomous Region, China.

出版信息

Sci Rep. 2025 Apr 3;15(1):11517. doi: 10.1038/s41598-025-96592-5.

Abstract

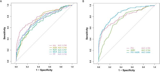
This study evaluated the prognostic value of the pan-immune-inflammation value (PIV) combined with the albumin-to-globulin ratio (AGR) for postoperative survival in colorectal cancer (CRC) patients and developed a nomogram for survival prediction. A total of 650 CRC patients who underwent radical surgery were included, with data from one institution used as the training set. The optimal cut-off values for PIV (426.8) and AGR (1.4) were determined using maximally selected rank statistics. Kaplan-Meier analysis showed that patients in the low-PIV group had significantly better 5-year overall survival (OS) compared to the high-PIV group, while those in the high-AGR group had better 5-year OS than those in the low-AGR group. Multivariate analysis identified age, N stage, degree of differentiation, PIV, and AGR as independent prognostic factors for OS. A nomogram for OS was developed and validated, demonstrating robust predictive performance. This study highlights the value of PIV and AGR as reliable indicators for predicting OS in CRC patients, with high PIV and low AGR associated with worse prognosis. Timely interventions may improve patient outcomes.

摘要

本研究评估了全免疫炎症值(PIV)联合白蛋白与球蛋白比值(AGR)对结直肠癌(CRC)患者术后生存的预后价值,并开发了一种生存预测列线图。共纳入650例行根治性手术的CRC患者,来自一个机构的数据用作训练集。使用最大选择秩统计量确定PIV(426.8)和AGR(1.4)的最佳截断值。Kaplan-Meier分析表明,低PIV组患者的5年总生存期(OS)明显优于高PIV组,而高AGR组患者的5年OS优于低AGR组。多因素分析确定年龄、N分期、分化程度、PIV和AGR为OS的独立预后因素。开发并验证了OS列线图,显示出强大的预测性能。本研究强调了PIV和AGR作为预测CRC患者OS的可靠指标的价值,高PIV和低AGR与较差的预后相关。及时干预可能改善患者预后。

https://cdn.ncbi.nlm.nih.gov/pmc/blobs/4df0/11968868/230a41e82447/41598_2025_96592_Fig1_HTML.jpg

文献AI研究员

20分钟写一篇综述,助力文献阅读效率提升50倍。

立即体验

用中文搜PubMed

大模型驱动的PubMed中文搜索引擎

马上搜索

文档翻译

学术文献翻译模型,支持多种主流文档格式。

立即体验