Suppr超能文献

一种有机金属金(I)炔基配合物在肺癌异种移植小鼠模型中的抗增殖作用、作用机制及肿瘤缩小研究

Antiproliferative effects, mechanism of action and tumor reduction studies in a lung cancer xenograft mouse model of an organometallic gold(i) alkynyl complex.

作者信息

Basu Uttara, Wilsmann Anna, Türck Sebastian, Hoffmeister Henrik, Schiedel Matthias, Gasser Gilles, Ott Ingo

机构信息

Institute of Medicinal and Pharmaceutical Chemistry, Technische Universität Braunschweig Beethovenstr. 55 38106 Braunschweig Germany

Department of Chemistry, BITS Pilani K K Birla Goa Campus NH 17B Bypass Road Goa 403726 India

出版信息

RSC Med Chem. 2025 Mar 24. doi: 10.1039/d4md00964a.

Abstract

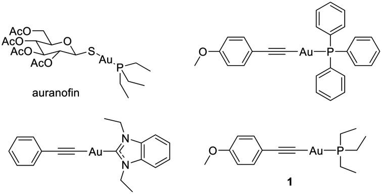
Organometallic complexes offer a wide range of properties like structural variety, reaction kinetics, tunable lipophilicity and alternate mechanisms of activation under physiological conditions compared to platinum chemotherapeutics and are thus being explored for their potential anticancer applications. In this regard, gold(i) organometallics hold a pivotal position for their ability to act on biological targets different from DNA (which is the primary target of platinum therapeutics), such as thioredoxin reductase. Here, we report on the stability, antiproliferative effects, protein binding, cellular uptake, mechanism of action, effects on mitochondrial respiration of cancer cells as well as tolerance, toxicity and tumor reduction in an A549 lung cancer xenograft mouse model of an organometallic gold(i) complex (1) bearing 4-ethynylanisole and triethylphosphane as ligands. The complex, which was stable in DMSO and reactive towards -acetylcysteine, triggered strong antiproliferative effects in various cancer cell lines and had a protein binding of approximately 65% that reduced its generally efficient uptake into tumor cells. Antimetastatic properties were indicated for 1 in a scratch assay and strong inhibition of thioredoxin reductase (TrxR) was confirmed for the purified enzyme as well as in A549 lung cancer cells, which strongly overexpress TrxR. Real time monitoring of the oxygen consumption rate in multiple cancer cell lines, using the Seahorse Mito stress assay, demonstrated that mitochondrial respiration was severely disrupted, showing a significantly low oxygen consumption rate. Other respiratory parameters, such as proton efflux, spare respiratory capacity and maximal respiration, were also attenuated upon treatment with 1. The complex was well tolerated in mice at a dose of 10 mg kg and showed tumor reduction compared to the control group of animals in a lung cancer xenograft model of nude mice. In summary, complex 1 represents a novel organometallic anticancer drug candidate with a mechanism related to TrxR inhibition and mitochondrial respiration inhibition, showing efficient antitumor efficacy.

摘要

与铂类化疗药物相比,有机金属配合物具有多种特性,如结构多样性、反应动力学、可调节的亲脂性以及在生理条件下的替代活化机制,因此正在探索其潜在的抗癌应用。在这方面,金(I)有机金属化合物因其能够作用于不同于DNA(铂类治疗药物的主要靶点)的生物靶点,如硫氧还蛋白还原酶,而占据关键地位。在此,我们报告了一种以4-乙炔基苯甲醚和三乙膦为配体的有机金属金(I)配合物(1)在A549肺癌异种移植小鼠模型中的稳定性、抗增殖作用、蛋白质结合、细胞摄取、作用机制、对癌细胞线粒体呼吸的影响以及耐受性、毒性和肿瘤缩小情况。该配合物在二甲基亚砜中稳定,对乙酰半胱氨酸有反应,在各种癌细胞系中引发强烈的抗增殖作用,蛋白质结合率约为65%,这降低了其通常对肿瘤细胞的有效摄取。划痕试验表明1具有抗转移特性,纯化酶以及在强烈过表达硫氧还蛋白还原酶(TrxR)的A549肺癌细胞中均证实了对硫氧还蛋白还原酶的强烈抑制作用。使用海马线粒体应激试验对多种癌细胞系的氧消耗率进行实时监测表明,线粒体呼吸严重受损,氧消耗率显著降低。用1处理后,其他呼吸参数,如质子外流、备用呼吸能力和最大呼吸也减弱。该配合物在小鼠中以10 mg/kg的剂量耐受性良好,在裸鼠肺癌异种移植模型中与对照组动物相比显示出肿瘤缩小。总之,配合物1代表了一种新型有机金属抗癌候选药物,其作用机制与抑制TrxR和线粒体呼吸有关,显示出有效的抗肿瘤疗效。

https://cdn.ncbi.nlm.nih.gov/pmc/blobs/f508/11975047/9402d4f1bd3e/d4md00964a-f1.jpg

文献AI研究员

20分钟写一篇综述,助力文献阅读效率提升50倍。

立即体验

用中文搜PubMed

大模型驱动的PubMed中文搜索引擎

马上搜索

文档翻译

学术文献翻译模型,支持多种主流文档格式。

立即体验