Suppr超能文献

胶质母细胞瘤患者中HER家族成员、EGFRvIII、假定的癌症干细胞生物标志物CD44和CD109的共表达及细胞定位及其对预后的影响

The Co-Expression and Cellular Location of HER Family Members, EGFRvIII, Putative Cancer Stem Cell Biomarkers CD44 and CD109 in Patients with Glioblastoma, and Their Impacts on Prognosis.

作者信息

Mulliqi Ermira, Khelwatty Said, Bagwan Izhar, Kamaludin Ahmad, Morgan Anna, Long Natalie, Ashkan Keyoumars, Modjtahedi Helmout

机构信息

School of Life Science, Pharmacy and Chemistry, Faculty of Health, Science, Social Care and Education, Kingston University London, Kingston-upon-Thames KT1 2EE, UK.

Berkshire Surrey Pathology Services, Royal Surrey Hospital, Guildford GU2 7XX, UK.

出版信息

Cancers (Basel). 2025 Apr 4;17(7):1221. doi: 10.3390/cancers17071221.

Abstract

BACKGROUND/OBJECTIVES: The aberrant expression and activation of HER family members is a known major oncogenic pathway for the proliferation, progression, and metastasis of a wide range of human malignancies. In this study, our aim was to examine the relative expression and prognostic significance of all members of the HER family, the type III EGFR mutant (EGFRvIII), and the putative stem cell markers CD44 and CD109 in patients with glioblastoma.

METHODS

The expression levels of wild-type EGFR (wtEGFR), HER2, HER3, HER4, EGFRvIII, CD44, and CD109 were determined in tumour specimens from 80 patients by immunohistochemistry. The staining was scored based on the percentage of positive tumour cells, the intensity, and the cellular location of immunostaining. The association between the expression level of the biomarkers and patient overall survival was evaluated using Chi-squared, Kaplan-Meier survival curves, and log-rank tests.

RESULTS

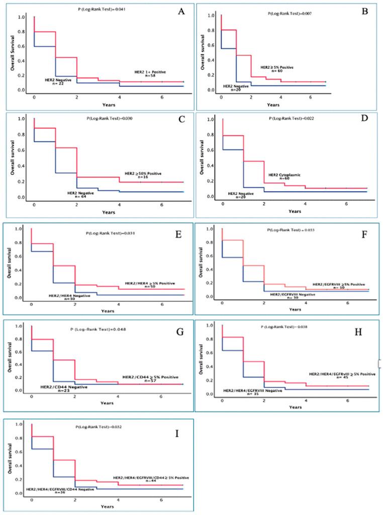
At a cut-off value of ≥5% with positive staining, 46% (wtEGFR), 75% (HER2), 19% (HER3), 71% (HER4), 85% (EGFRvIII), 95% (CD44), and 16% (CD109) of the cases were positive for these biomarkers. Interestingly, at the same cut-off value, the expression of wtEGFR in these patients was accompanied by co-expression with HER2 (35%), HER3 (0%), HER4 (30%), EGFRvIII (36%), CD44 (44%), HER2/EGFRvIII (28%), HER2/CD44 (31%), and EGFRvIII/CD44 (36%). In addition, the expression of EGFRvIII was accompanied by co-expression with HER2 (65%), HER3 (15%), HER4 (63%), CD44 (83%), CD109 (16%), wtEGFR/HER2 (28%), and 55% of the cases had co-expression of EGFRvIII/HER2/HER4/CD44. With the exception of HER2 expression, at cut-off values of ≥5% of tumour cells with positive staining, which was associated with better overall survival [HR = 0.57 ( = 0.038), HR = 0.56 ( = 0.034)], there was no significant association between the expression of other members of the HER family, EGFRvIII, CD44, and CD109 on the overall survival in both univariate and multivariate analysis. Conclusions Our results suggest that the co-expression of different members of the HER family, with EGFRvIII, CD44, and CD109, occurs in patients with glioblastoma. As the results of therapy with EGFR inhibitors have not been encouraging in patients with a brain tumour, further investigation should determine whether the co-expression of such biomarkers can be of predictive value for the response to the therapy with various types of HER inhibitors and their potential as therapeutic targets for co-targeted therapy.

摘要

背景/目的:HER家族成员的异常表达和激活是多种人类恶性肿瘤增殖、进展和转移的主要致癌途径。在本研究中,我们旨在检测胶质母细胞瘤患者中HER家族所有成员、III型表皮生长因子受体突变体(EGFRvIII)以及假定的干细胞标志物CD44和CD109的相对表达及其预后意义。

方法

采用免疫组织化学法检测80例患者肿瘤标本中野生型表皮生长因子受体(wtEGFR)、HER2、HER3、HER4、EGFRvIII、CD44和CD109的表达水平。根据阳性肿瘤细胞百分比、染色强度和免疫染色的细胞定位对染色进行评分。使用卡方检验、Kaplan-Meier生存曲线和对数秩检验评估生物标志物表达水平与患者总生存期之间的关联。

结果

在阳性染色≥5%的临界值下,46%(wtEGFR)、75%(HER2)、19%(HER3)、71%(HER4)、85%(EGFRvIII)、95%(CD44)和16%(CD109)的病例这些生物标志物呈阳性。有趣的是,在相同临界值下,这些患者中wtEGFR的表达与HER2(35%)、HER3(0%)、HER4(30%)、EGFRvIII(36%)、CD44(44%)、HER2/EGFRvIII(28%)、HER2/CD44(31%)和EGFRvIII/CD44(36%)共表达。此外,EGFRvIII的表达与HER2(65%)、HER3(15%)、HER4(63%)、CD44(83%)、CD109(16%)、wtEGFR/HER2(28%)共表达,55%的病例EGFRvIII/HER2/HER4/CD44共表达。除HER2表达外,在肿瘤细胞阳性染色≥5%的临界值下,其与更好的总生存期相关[风险比(HR)=0.57(P = 0.038),HR = 0.56(P = 0.034)],在单因素和多因素分析中,HER家族其他成员、EGFRvIII、CD44和CD109的表达与总生存期之间均无显著关联。结论我们的结果表明,胶质母细胞瘤患者中存在HER家族不同成员与EGFRvIII、CD44和CD109的共表达。由于表皮生长因子受体抑制剂治疗脑肿瘤患者的结果并不理想,进一步研究应确定这些生物标志物的共表达是否对不同类型表皮生长因子受体抑制剂治疗的反应具有预测价值以及它们作为联合靶向治疗靶点的潜力。

https://cdn.ncbi.nlm.nih.gov/pmc/blobs/322f/11987930/dc4a696208ba/cancers-17-01221-g001.jpg

文献AI研究员

20分钟写一篇综述,助力文献阅读效率提升50倍。

立即体验

用中文搜PubMed

大模型驱动的PubMed中文搜索引擎

马上搜索

文档翻译

学术文献翻译模型,支持多种主流文档格式。

立即体验