Suppr超能文献

非高密度脂蛋白胆固醇与高密度脂蛋白胆固醇比值(NHHR)与慢性阻塞性肺疾病患病率及全因死亡率的关联:一项基于2007 - 2016年美国国家健康与营养检查调查(NHANES)的人群研究。

Association of the non-high-density lipoprotein cholesterol to high-density lipoprotein cholesterol ratio (NHHR) with COPD prevalence and all-cause mortality: a population-based study based on NHANES 2007-2016.

作者信息

Liu Yu, Fan Zheng, Ren Hongmei, Zheng Cuixia

机构信息

Department of Respiratory and Critical Care Medicine, Yangpu Hospital, School of Medicine, Tongji University, Shanghai, China.

出版信息

Front Med (Lausanne). 2025 Apr 3;12:1533744. doi: 10.3389/fmed.2025.1533744. eCollection 2025.

Abstract

BACKGROUND

The non-high-density lipoprotein cholesterol to high-density lipoprotein cholesterol ratio (NHHR) plays a potential role in metabolic and cardiovascular diseases. However, its association with chronic obstructive pulmonary disease (COPD) is not well-defined. Here, we aim to investigate the potential association of NHHR with both the prevalence of COPD and all-cause mortality among individuals with COPD.

METHODS

This population-based NHANES (2007-2016) study utilized weighted statistical analyses. Multivariable logistic regression assessed the NHHR-COPD prevalence association, with restricted cubic spline (RCS) testing for non-linearity. The association between NHHR and all-cause mortality in COPD was evaluated using Cox proportional hazards models and Kaplan-Meier, with RCS testing for non-linearity. Subgroup and sensitivity analyses confirmed the findings' reliability.

RESULTS

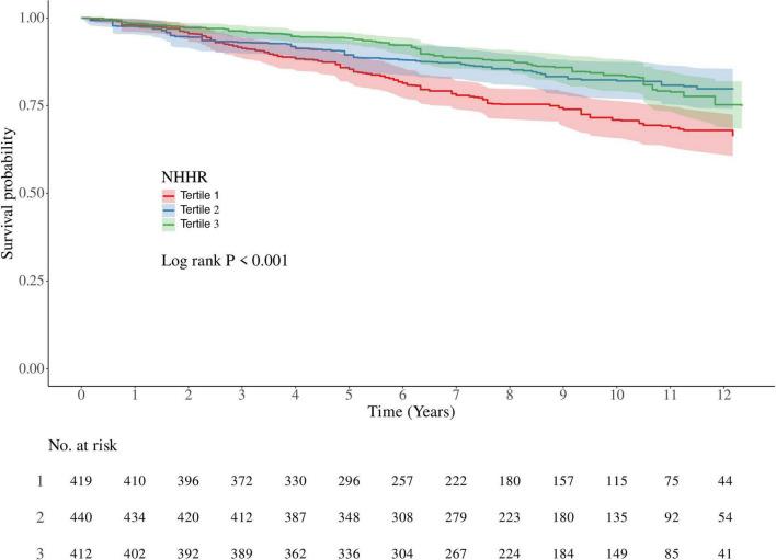
This study included 6349 participants, of whom 1271 were diagnosed with COPD. Participants in the highest NHHR tertile demonstrated 62% higher odds of COPD prevalence compared to those in the lowest tertile (OR = 1.62, 95% CI:1.11-2.39, = 0.017). Results from RCS analysis indicated a nonlinear relationship between NHHR and the prevalence of COPD ( for nonlinear = 0.007), with the curve demonstrating an inverted L-shape. Over an average follow-up period of 93 months, 320 participants with COPD died. In the weighted Kaplan-Meier survival analysis, participants with COPD in the lower NHHR tertile demonstrated greater cumulative probability of all-cause mortality compared to higher tertiles ( < 0.001). Weighted multivariable Cox regression models revealed an inverse association between NHHR levels and COPD all-cause mortality, with the highest NHHR tertile showing 11% lower likelihood of COPD all-cause mortality relative to the lowest tertile (HR = 0.89, 95% CI:0.80-0.99, = 0.027). In addition, RCS analysis demonstrated a significant negative linear association between NHHR levels and all-cause mortality in COPD patients ( for nonlinear = 0.081). Subgroup and sensitivity analyses further confirmed the associations of NHHR on both morbidity and all-cause mortality.

CONCLUSION

Higher NHHR levels were associated with increased COPD prevalence yet inversely correlated with all-cause mortality in COPD patients. These paradoxical associations underscore the need for COPD-specific lipid management strategies that balance disease progression and mortality risks.

摘要

背景

非高密度脂蛋白胆固醇与高密度脂蛋白胆固醇比值(NHHR)在代谢性疾病和心血管疾病中发挥着潜在作用。然而,其与慢性阻塞性肺疾病(COPD)的关联尚不明确。在此,我们旨在研究NHHR与COPD患病率以及COPD患者全因死亡率之间的潜在关联。

方法

这项基于人群的美国国家健康与营养检查调查(2007 - 2016年)研究采用加权统计分析。多变量逻辑回归评估NHHR与COPD患病率的关联,并使用受限立方样条(RCS)检验非线性关系。使用Cox比例风险模型和Kaplan - Meier法评估NHHR与COPD患者全因死亡率之间的关联,同样采用RCS检验非线性关系。亚组分析和敏感性分析证实了研究结果的可靠性。

结果

本研究纳入6349名参与者,其中1271人被诊断患有COPD。与处于最低三分位数的参与者相比,处于最高NHHR三分位数的参与者患COPD的几率高62%(比值比[OR]=1.62,95%置信区间[CI]:1.11 - 2.39,P = 0.017)。RCS分析结果表明NHHR与COPD患病率之间存在非线性关系(非线性P = 0.007),曲线呈倒L形。在平均93个月的随访期内,320名COPD患者死亡。在加权Kaplan - Meier生存分析中,与较高三分位数的COPD患者相比,处于较低NHHR三分位数的患者全因死亡累积概率更高(P < 0.001)。加权多变量Cox回归模型显示NHHR水平与COPD全因死亡率呈负相关,与最低三分位数相比,最高NHHR三分位数的COPD患者全因死亡可能性低11%(风险比[HR]=0.89,95% CI:0.80 - 0.99,P = 0.027)。此外,RCS分析表明NHHR水平与COPD患者全因死亡率之间存在显著的负线性关联(非线性P = 0.081)。亚组分析和敏感性分析进一步证实了NHHR与发病率和全因死亡率之间的关联。

结论

较高的NHHR水平与COPD患病率增加相关,但与COPD患者的全因死亡率呈负相关。这些矛盾的关联凸显了制定特定于COPD的脂质管理策略的必要性,以平衡疾病进展和死亡风险。

https://cdn.ncbi.nlm.nih.gov/pmc/blobs/9bd2/12003284/f601eb19e5a1/fmed-12-1533744-g001.jpg

文献AI研究员

20分钟写一篇综述,助力文献阅读效率提升50倍。

立即体验

用中文搜PubMed

大模型驱动的PubMed中文搜索引擎

马上搜索

文档翻译

学术文献翻译模型,支持多种主流文档格式。

立即体验