Suppr超能文献

基于网状Meta分析的不同剂量胞磷胆碱改善急性缺血性脑卒中患者预后的疗效

The efficacy of different doses of citicoline in improving the prognosis of patients with acute ischemic stroke based on network meta-analysis.

作者信息

Zhao Xu, Huo Xianhao, Meng Yizhen, Zhao Ran, Liu Xiaozhuo, Chen Jiancheng, Mao Zhiqi, Li Mei

机构信息

Department of Neurosurgery, North China University of Science and Technology Affiliated Hospital, Tangshan, Hebei, China.

Department of Neurosurgery, General Hospital of Ningxia Medical University, Yinchuan, China.

出版信息

Front Pharmacol. 2025 Apr 4;16:1529647. doi: 10.3389/fphar.2025.1529647. eCollection 2025.

Abstract

OBJECTIVE

Our group aimed to explore the effect of different dosages of citicoline on ischemic stroke (IS) patients and determine the most appropriate dosage for these patients.

METHODS

The databases of PubMed, Cochrane Library, Medline, Web of Science, and Embase were searched from their establishment to 15 October 2024. We assessed the quality of all included articles by using the Cochrane quality evaluation method or Newcastle-Ottawa Scale (NOS), which was based on the study type. Relative risk (RR) and 95% confidence interval (CI) were used for dichotomous data, and mean and standardized difference (SD) were used for continuous data. The outcome indicators were death, improvement in neurological function and daily living activities, and adverse effects.

RESULTS

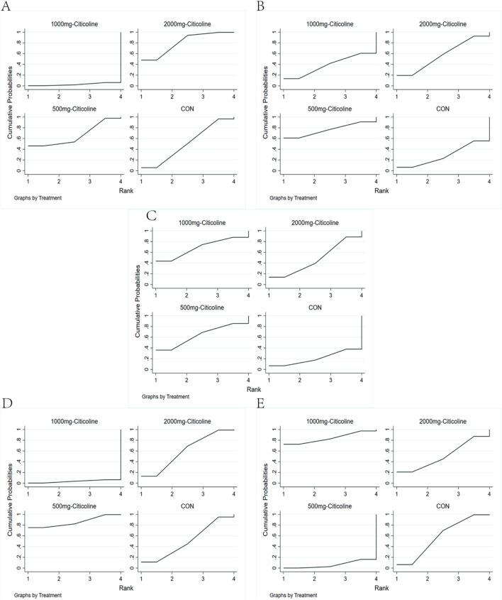
In this study, a total of 13 studies were included. Of these, 370 patients were treated with 500 mg citicoline, 502 patients were treated with 1,000 mg citicoline, 1,891 patients were treated with 2,000 mg citicoline, and 2,582 patients were treated in the group of control (CON). We evaluated the treatment effect of different outcome indicators by ranking. In terms of death, both 500 mg citicoline and 2,000 mg citicoline demonstrated lower mortality than CON, with 2,000 mg citicoline having the lowest mortality. In terms of neurological function improvement, we found that compared to CON, the rates of improvement were higher and the rates of ineffective results were lower in 500-mg citicoline, 2,000-mg citicoline, and 1,000-mg citicoline groups. In terms of improvement in daily living activities, the MBI scores for 500 mg citicoline and 2000 mg citicoline were both higher than CON, while the MBI score for 1,000 mg citicoline was not. Lastly, in the aspect of adverse effects, we found that the rate of adverse effects was lower for 1,000 mg citicoline than CON, while it was higher for 500 mg citicoline and 2,000 mg citicoline.

CONCLUSION

Our research findings revealed that different dosages of citicoline significantly affect the neurological function, daily living activities, and adverse effects in patients with acute IS. Notably, 500 mg citicoline and 2,000 mg citicoline not only demonstrate higher rates of improvement in neurological function and daily living activities but also have lower mortality and ineffective results. However, this study does not specify the best one of the two dosages.

摘要

目的

本研究团队旨在探讨不同剂量的胞磷胆碱对缺血性脑卒中(IS)患者的影响,并确定这些患者的最适宜剂量。

方法

检索了PubMed、Cochrane图书馆、Medline、Web of Science和Embase数据库,检索时间范围从各数据库建库至2024年10月15日。我们根据研究类型,采用Cochrane质量评估方法或纽卡斯尔-渥太华量表(NOS)对所有纳入文章的质量进行评估。二分类数据采用相对危险度(RR)和95%置信区间(CI),连续数据采用均值和标准化差值(SD)。结局指标为死亡、神经功能和日常生活活动的改善情况以及不良反应。

结果

本研究共纳入13项研究。其中,370例患者接受500毫克胞磷胆碱治疗,502例患者接受1000毫克胞磷胆碱治疗,1891例患者接受2000毫克胞磷胆碱治疗,2582例患者作为对照组(CON)接受治疗。我们通过排序评估了不同结局指标的治疗效果。在死亡方面,500毫克胞磷胆碱和2000毫克胞磷胆碱的死亡率均低于对照组,其中2000毫克胞磷胆碱的死亡率最低。在神经功能改善方面,我们发现与对照组相比,500毫克胞磷胆碱组、2000毫克胞磷胆碱组和1000毫克胞磷胆碱组的改善率更高,无效结果率更低。在日常生活活动改善方面,500毫克胞磷胆碱和2000毫克胞磷胆碱的改良巴氏指数(MBI)评分均高于对照组,而1000毫克胞磷胆碱的MBI评分则不然。最后,在不良反应方面,我们发现1000毫克胞磷胆碱的不良反应发生率低于对照组,而500毫克胞磷胆碱和2000毫克胞磷胆碱的不良反应发生率则更高。

结论

我们的研究结果表明,不同剂量的胞磷胆碱对急性缺血性脑卒中患者的神经功能、日常生活活动及不良反应有显著影响。值得注意的是,500毫克胞磷胆碱和2000毫克胞磷胆碱不仅神经功能和日常生活活动的改善率更高,而且死亡率和无效结果更低。然而,本研究并未明确这两种剂量中哪一种最佳。

https://cdn.ncbi.nlm.nih.gov/pmc/blobs/13ca/12006040/2511cf6edcca/fphar-16-1529647-g001.jpg

文献AI研究员

20分钟写一篇综述,助力文献阅读效率提升50倍。

立即体验

用中文搜PubMed

大模型驱动的PubMed中文搜索引擎

马上搜索

文档翻译

学术文献翻译模型,支持多种主流文档格式。

立即体验