Suppr超能文献

洛粉碱衍生物对单酰甘油脂肪酶(MAGL)的抑制作用的发现:化学发光分析方法开发中的意外发现。

Discovery of MAGL Inhibition by Lophine Derivatives: An Unexpected Finding from Chemiluminescent Assay Development.

作者信息

Ottria Roberta, Casati Silvana, Xynomilakis Ornella, Veselinović Aleksandar, Ciuffreda Pierangela

机构信息

Dipartimento di Scienze Biomediche e Cliniche, Università degli Studi di Milano, 20157 Milano, Italy.

Department of Chemistry, Faculty of Medicine, University of Niš, Blvd. Dr. Zorana Đinđića 81, 18000 Niš, Serbia.

出版信息

Molecules. 2025 Apr 3;30(7):1605. doi: 10.3390/molecules30071605.

Abstract

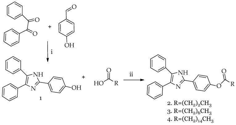
The inhibitory effects of two novel lophine derivatives were unexpectedly discovered during the development of a chemiluminescent monoacylglycerol lipase (MAGL) assay. The proposed lophine derivatives were found to exhibit concentration-dependent inhibitory effects on MAGL with the octanoic and palmitic acid esters of 2-(4-hydroxyphenyl)-4,5-diphenylimidazole showing the strongest activity. Reversibility assays using a fluorometric method confirmed that these compounds interact with MAGL in a stable, irreversible manner. To further investigate their mode of interaction, docking studies were performed, supporting the hypothesis that compounds and may act as competitive and irreversible inhibitors. Lophine derivatives were initially designed and synthesized as potential chemiluminescence pro-enhancers. However, assay optimization revealed no signal production upon MAGL hydrolysis, precluding their use as chemiluminescent probes. These findings suggest that lophine is a promising candidate for the development of MAGL inhibitors, although further optimization is needed to enhance binding affinity and selectivity.

摘要

在开发一种化学发光单酰基甘油脂肪酶(MAGL)检测方法的过程中,意外发现了两种新型洛粉碱衍生物的抑制作用。研究发现,所提出的洛粉碱衍生物对MAGL具有浓度依赖性抑制作用,其中2-(4-羟基苯基)-4,5-二苯基咪唑的辛酸酯和棕榈酸酯表现出最强的活性。使用荧光法进行的可逆性分析证实,这些化合物以稳定、不可逆的方式与MAGL相互作用。为了进一步研究它们的相互作用模式,进行了对接研究,支持化合物和可能作为竞争性和不可逆抑制剂的假设。洛粉碱衍生物最初被设计和合成作为潜在的化学发光增强剂。然而,检测优化显示MAGL水解后没有信号产生,排除了它们作为化学发光探针的用途。这些发现表明,洛粉碱是开发MAGL抑制剂的一个有前途的候选物,尽管需要进一步优化以提高结合亲和力和选择性。

https://cdn.ncbi.nlm.nih.gov/pmc/blobs/99f9/11990452/a634a2675621/molecules-30-01605-sch001.jpg

文献AI研究员

20分钟写一篇综述,助力文献阅读效率提升50倍。

立即体验

用中文搜PubMed

大模型驱动的PubMed中文搜索引擎

马上搜索

文档翻译

学术文献翻译模型,支持多种主流文档格式。

立即体验