Suppr超能文献

定位小麦病原体小麦壳针孢中与温度胁迫相关的基因组区域。

Mapping genomic regions associated with temperature stress in the wheat pathogen Zymoseptoria tritici.

作者信息

Stapley Jessica, Zhong Ziming, McDonald Bruce A

机构信息

Plant Pathology Group, Institute of Integrative Biology, ETH Zurich, 8092 Zürich, Switzerland.

出版信息

G3 (Bethesda). 2025 Jun 4;15(6). doi: 10.1093/g3journal/jkaf094.

Abstract

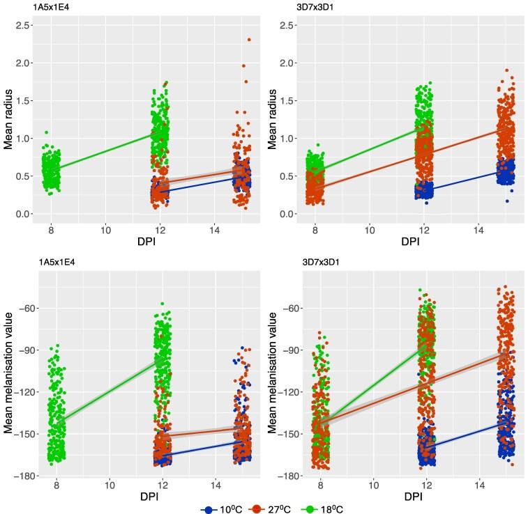
Climate change can alter interactions between plants and their pathogens, which could adversely affect crop production. To better understand the molecular mechanisms underlying the responses of pathogenic fungi to temperature stress, we conducted a quantitative trait loci (QTL) mapping study in the wheat pathogen Zymoseptoria tritici to identify genomic regions associated with colony growth and melanization at 3 temperatures (10, 18, and 27°C). We then identified likely candidate genes for thermal adaptation within these intervals by combining information regarding gene function, gene ontology (GO) annotation enrichment, transcriptional profile, and results from previous genome-wide association studies investigating responses to climate, temperature, and thermal adaptation. The QTL mapping, conducted for 2 separate crosses involving 4 Swiss parents, found significant QTL uniquely associated with traits measured in high and low temperatures. These intervals contained many genes known to regulate responses to temperature stress, including heat-shock proteins and proteins involved in the mitogen-activated protein kinase (MAPK) pathways, and were enriched for genes with a zinc ion binding GO annotation. We highlight the most promising candidate genes for thermal adaptation, including an ammonium transporter gene, a stress response factor (Whi1) and 2 MAPK pathway genes-SSk2 and Opy2. Future validation work on these candidate genes could provide novel insight into the molecular mechanisms underlying temperature adaptation in this important wheat pathogen.

摘要

气候变化会改变植物与其病原体之间的相互作用,这可能会对作物产量产生不利影响。为了更好地理解致病真菌对温度胁迫响应的分子机制,我们在小麦病原体小麦壳针孢中开展了一项数量性状基因座(QTL)定位研究,以确定在3个温度(10、18和27°C)下与菌落生长和黑色素形成相关的基因组区域。然后,我们通过整合基因功能、基因本体(GO)注释富集、转录谱以及先前全基因组关联研究中关于对气候、温度和热适应响应的结果等信息,在这些区间内确定了可能的热适应候选基因。对涉及4个瑞士亲本的2个独立杂交组合进行的QTL定位发现,有显著的QTL与在高温和低温下测量的性状唯一相关。这些区间包含许多已知调控对温度胁迫响应的基因,包括热休克蛋白和参与丝裂原活化蛋白激酶(MAPK)途径的蛋白,并且富含具有锌离子结合GO注释的基因。我们重点介绍了最有希望的热适应候选基因,包括一个铵转运蛋白基因、一个应激反应因子(Whi1)以及2个MAPK途径基因——SSk2和Opy2。未来对这些候选基因的验证工作可能会为这种重要小麦病原体温度适应的分子机制提供新的见解。

https://cdn.ncbi.nlm.nih.gov/pmc/blobs/0b31/12135003/65ab2f259fa2/jkaf094f1.jpg

文献AI研究员

20分钟写一篇综述,助力文献阅读效率提升50倍。

立即体验

用中文搜PubMed

大模型驱动的PubMed中文搜索引擎

马上搜索

文档翻译

学术文献翻译模型,支持多种主流文档格式。

立即体验