Suppr超能文献

与结直肠癌:通过代谢物谱分析和预后模型揭示的矛盾作用。

and colorectal cancer: A paradoxical role revealed through metabolite profiling and prognostic modeling.

作者信息

Zhang Hao-Ling, Zhao Rui, Wang Di, Mohd Sapudin Siti Nurfatimah, Yahaya Badrul Hisham, Harun Mohammad Syamsul Reza, Zhang Zhong-Wen, Song Zhi-Jing, Liu Yan-Ting, Doblin Sandai, Lu Ping

机构信息

Department of Oncology, The First Affiliated Hospital of Xinxiang Medical University, Xinxiang 453000, Henan Province, China.

Department of Biomedical Science, Universiti Sains Malaysia, Pinang 13200, Malaysia.

出版信息

World J Clin Oncol. 2025 Apr 24;16(4):104182. doi: 10.5306/wjco.v16.i4.104182.

Abstract

BACKGROUND

Emerging evidence implicates () in human oncogenesis. Notably, studies have supported its involvement in regulating outcomes in colorectal cancer (CRC). This study investigated the paradoxical role of in CRC, aiming to determine whether it promotes or suppresses tumor development, with a focus on the mechanistic basis linked to its metabolic profile.

AIM

To investigate the dual role of in the development and progression of CRC through metabolite profiling and to establish a prognostic model that integrates the microbial and metabolic interactions in CRC, providing insights into potential therapeutic strategies and clinical outcomes.

METHODS

A prognostic model integrating with CRC was developed, incorporating enrichment analysis, immune infiltration profiling, survival analysis, Mendelian randomization, single-cell sequencing, and spatial transcriptomics. The effects of the metabolite mixture on CRC cells were subsequently validated . The primary metabolite composition was characterized using liquid chromatography-mass spectrometry.

RESULTS

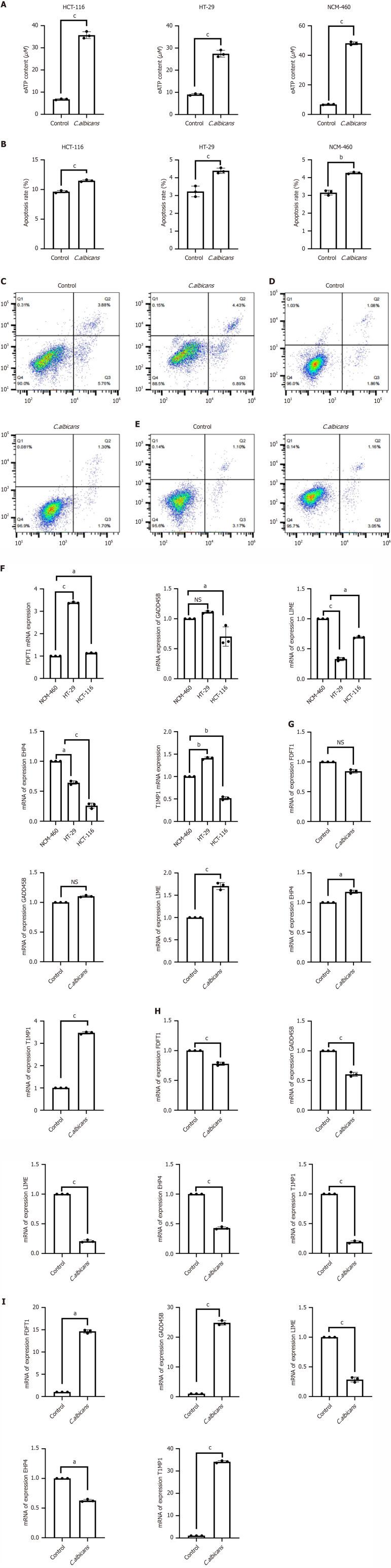
A prognostic model based on five specific mRNA markers, , , , , and , was established. The metabolite mixture significantly reduced CRC cell viability. Post-treatment analysis revealed a significant decrease in gene expression in HT29 cells, while the expression levels of , , and were significantly elevated in HCT116 cells. Conversely, expression and that of other CRC cell lines showed reductions. In normal colonic epithelial cells (NCM460), , , and expression levels were significantly increased, while and levels were markedly reduced. Following metabolite treatment, the invasive and migratory capabilities of NCM460, HT29, and HCT116 cells were reduced. Quantitative analysis of extracellular ATP post-treatment showed a significant elevation ( < 0.01). The metabolite mixture had no effect on reactive oxygen species accumulation in CRC cells but led to a reduction in mitochondrial membrane potential, increased intracellular lipid peroxidation, and induced apoptosis. Metabolomic profiling revealed significant alterations, with 516 metabolites upregulated and 531 downregulated.

CONCLUSION

This study introduced a novel prognostic model for CRC risk assessment. The findings suggested that the metabolite mixture exerted an inhibitory effect on CRC initiation.

摘要

背景

新出现的证据表明()参与人类肿瘤发生。值得注意的是,研究支持其参与调节结直肠癌(CRC)的预后。本研究调查了()在CRC中的矛盾作用,旨在确定它是促进还是抑制肿瘤发展,重点关注与其代谢谱相关的机制基础。

目的

通过代谢物谱分析研究()在CRC发生发展中的双重作用,并建立一个整合CRC中微生物和代谢相互作用的预后模型,为潜在的治疗策略和临床结果提供见解。

方法

开发了一个将()与CRC整合的预后模型,纳入富集分析、免疫浸润谱分析、生存分析、孟德尔随机化、单细胞测序和空间转录组学。随后验证了()代谢物混合物对CRC细胞的影响。使用液相色谱 - 质谱法表征主要代谢物组成。

结果

建立了一个基于五个特定mRNA标记物()的预后模型。()代谢物混合物显著降低了CRC细胞活力。治疗后分析显示HT29细胞中基因表达显著降低,而HCT116细胞中()、()和()的表达水平显著升高。相反,()表达以及其他CRC细胞系的表达显示降低。在正常结肠上皮细胞(NCM460)中,()、()和()表达水平显著增加,而()和()水平显著降低。代谢物处理后,NCM460、HT29和HCT116细胞的侵袭和迁移能力降低。治疗后细胞外ATP的定量分析显示显著升高(<0.01)。()代谢物混合物对CRC细胞中活性氧积累没有影响,但导致线粒体膜电位降低、细胞内脂质过氧化增加并诱导凋亡。代谢组学分析显示有显著变化,516种代谢物上调,531种下调。

结论

本研究引入了一种用于CRC风险评估的新型预后模型。研究结果表明()代谢物混合物对CRC起始具有抑制作用。

https://cdn.ncbi.nlm.nih.gov/pmc/blobs/4d21/12019262/89d48a7d7a1a/104182-g001.jpg

文献AI研究员

20分钟写一篇综述,助力文献阅读效率提升50倍。

立即体验

用中文搜PubMed

大模型驱动的PubMed中文搜索引擎

马上搜索

文档翻译

学术文献翻译模型,支持多种主流文档格式。

立即体验