Suppr超能文献

衰弱老年人中生命关键9项指标与死亡率的关联:一项基于2007年至2018年美国国家健康与营养检查调查的前瞻性队列研究

Associations of life's crucial 9 with mortality among older adults with frailty: a prospective cohort study from the NHANES 2007 to 2018.

作者信息

Yan Shaohua, Chai Ke, Zeng Ping, Liu Junpeng, Shi Jing, Yang Jiefu, Wang Hua

机构信息

Department of Cardiology, Institute of Geriatric Medicine, Beijing Hospital, National Center of Gerontology, Chinese Academy of Medical Sciences, 1 DaHua Road, Beijing, 100730, China.

Chinese Academy of Medical Sciences, Peking Union Medical College, Beijing, People's Republic of China.

出版信息

BMC Geriatr. 2025 May 6;25(1):312. doi: 10.1186/s12877-025-05996-5.

Abstract

BACKGROUND

Frailty among the elderly represents a considerable public health issue linked to increased vulnerability and adverse outcomes. The Life's Crucial 9 (LC9) score, which includes mental health assessments alongside traditional cardiovascular health metrics, may offer a more comprehensive prediction of mortality risk in frail elderly populations.

METHODS

This prospective cohort study leveraged data from the National Health and Nutrition Examination Survey (NHANES) from 2007 to 2018. Participants aged ≥ 60 years were included, and frailty was assessed as Frailty index ≥ 0.21. The LC9 score combined eight physical health metrics with a mental health component focused on depression. Mortality follow-up information was acquired until December 2019. The study employed cox proportional hazards regression to assess the relationship between LC9 scores and mortality and additionally applied restricted cubic spline models to investigate dose-response associations.

RESULTS

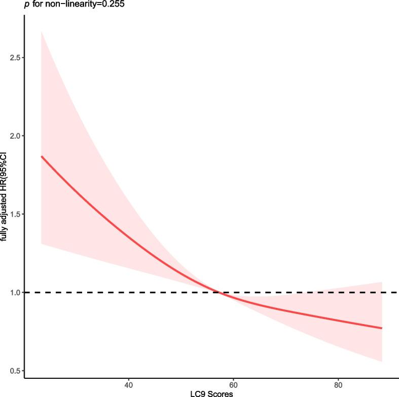
The analysis encompassed a total of 2,690 participants. Each 10-point increase in LC9 score was associated with a 13% decrease in mortality risk (HR: 0.87; 95% CI: 0.80-0.95; p = 0.002) after full adjustment. Participants in the highest tertile of LC9 scores demonstrated a 23-28% reduction in mortality risk compared to the lowest tertile. An L-shaped relationship was observed, with higher LC9 scores associated with lower mortality risk.

CONCLUSION

The LC9 score represents an important advancement in assessing mortality risk among frail older adults. This study highlights the need for holistic approaches in aging health assessments and suggests that integrating mental health within cardiovascular metrics may enhance the accuracy of risk predictions.

摘要

背景

老年人的衰弱是一个重大的公共卫生问题,与易感性增加和不良后果相关。生命关键9分(LC9)评分除了传统的心血管健康指标外,还包括心理健康评估,可能会更全面地预测衰弱老年人群的死亡风险。

方法

这项前瞻性队列研究利用了2007年至2018年国家健康与营养检查调查(NHANES)的数据。纳入年龄≥60岁的参与者,衰弱程度通过衰弱指数≥0.21进行评估。LC9评分将八项身体健康指标与一个关注抑郁的心理健康指标相结合。获取了截至2019年12月的死亡随访信息。该研究采用Cox比例风险回归来评估LC9评分与死亡率之间的关系,并额外应用受限立方样条模型来研究剂量反应关联。

结果

分析共纳入2690名参与者。在完全调整后,LC9评分每增加10分,死亡风险降低13%(HR:0.87;95%CI:0.80 - 0.95;p = 0.002)。LC9评分最高三分位数的参与者与最低三分位数相比,死亡风险降低了23% - 28%。观察到一种L形关系,即LC9评分越高,死亡风险越低。

结论

LC9评分是评估衰弱老年人死亡风险方面的一项重要进展。本研究强调了在衰老健康评估中采用整体方法的必要性,并表明将心理健康纳入心血管指标可能会提高风险预测的准确性。

https://cdn.ncbi.nlm.nih.gov/pmc/blobs/6ae4/12054264/649ef004be12/12877_2025_5996_Fig1_HTML.jpg

文献AI研究员

20分钟写一篇综述,助力文献阅读效率提升50倍。

立即体验

用中文搜PubMed

大模型驱动的PubMed中文搜索引擎

马上搜索

文档翻译

学术文献翻译模型,支持多种主流文档格式。

立即体验