Suppr超能文献

源自 的银纳米颗粒与环丙沙星和庆大霉素对人类病原菌的协同活性。 (你提供的原文中“-Derived”前面似乎缺失了具体内容)

Synergistic Activity of -Derived AgNPs with Ciprofloxacin and Gentamicin Against Human Pathogenic Bacteria.

作者信息

Tończyk Aleksandra, Niedziałkowska Katarzyna, Bernat Przemysław, Lisowska Katarzyna

机构信息

Department of Industrial Microbiology and Biotechnology, Faculty of Biology and Environmental Protection, University of Lodz, 12/16 Banacha Street, 90-237 Lodz, Poland.

BioMedChem Doctoral School of University of Lodz and Lodz Institutes of Polish Academy of Sciences, 21/23 Matejki Street, 90-237 Lodz, Poland.

出版信息

Int J Mol Sci. 2025 Apr 9;26(8):3529. doi: 10.3390/ijms26083529.

Abstract

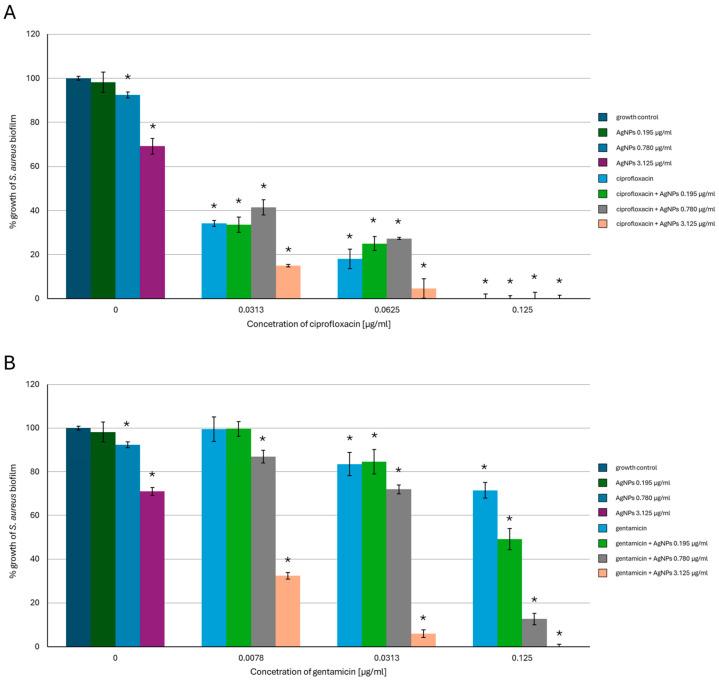
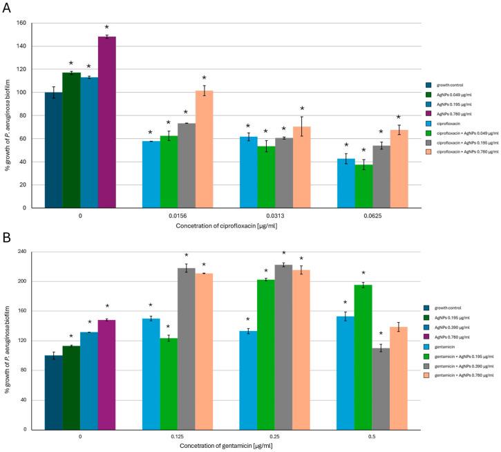
Silver nanoparticles (AgNPs) are used in a variety of different fields due to their excellent antimicrobial potential. Despite clear advantages, concerns about their toxicity have arisen, also concerning biogenic nanoparticles. Simultaneously, global healthcare is facing a problem of spreading antimicrobial resistance towards existing antibiotics. Using combined therapies involving AgNPs and antibiotics seems to be a promising solution to the above problems. The aim of this study was to evaluate the enhancement of the effectiveness of AgNPs, ciprofloxacin, and gentamicin against and . The research involved the assessment of antimicrobial and antibiofilm-forming activities and the analysis of phospholipid and fatty acid profiles. Our results showed that combining the tested antimicrobials can enhance their activity against the tested bacterial strains. However, no effect was observed while mixing AgNPs with ciprofloxacin against . The most significant effect was obtained by combining 3.125 µg/mL of AgNPs with 0.125 µg/mL of gentamicin against . It was also shown that the tested antimicrobials applied in combination exhibited an increased inhibitory activity towards bacterial biofilm formation by . Lipidomic analysis revealed that under the influence of the tested antimicrobials, the properties of the cell membrane were altered in different ways depending on the bacterial strain.

摘要

由于其出色的抗菌潜力,银纳米颗粒(AgNPs)被应用于各种不同领域。尽管有明显优势,但人们对其毒性产生了担忧,对生物源纳米颗粒也存在担忧。与此同时,全球医疗保健面临着对现有抗生素的抗微生物耐药性传播问题。使用涉及AgNPs和抗生素的联合疗法似乎是解决上述问题的一个有前景的方案。本研究的目的是评估AgNPs、环丙沙星和庆大霉素对[具体细菌名称缺失]和[具体细菌名称缺失]有效性的增强情况。该研究包括对抗菌和抗生物膜形成活性的评估以及磷脂和脂肪酸谱的分析。我们的结果表明,将测试的抗菌剂组合使用可以增强它们对测试细菌菌株的活性。然而,将AgNPs与环丙沙星混合时,对[具体细菌名称缺失]未观察到效果。将3.125 µg/mL的AgNPs与0.125 µg/mL的庆大霉素组合使用,对[具体细菌名称缺失]产生了最显著的效果。还表明,组合使用的测试抗菌剂对[具体细菌名称缺失]的细菌生物膜形成表现出增强的抑制活性。脂质组学分析表明,在测试抗菌剂的影响下,细胞膜的性质根据细菌菌株的不同而以不同方式发生改变。

https://cdn.ncbi.nlm.nih.gov/pmc/blobs/0e6e/12026993/0ff737ca0e86/ijms-26-03529-g001.jpg

文献AI研究员

20分钟写一篇综述,助力文献阅读效率提升50倍。

立即体验

用中文搜PubMed

大模型驱动的PubMed中文搜索引擎

马上搜索

文档翻译

学术文献翻译模型,支持多种主流文档格式。

立即体验