Suppr超能文献

鲤鱼鱼片氨基酸组成的基因组和转录组分析

Genomic and Transcriptomic Profiling of Amino Acid Compositions in Common Carp Fillets.

作者信息

Chen Yingjie, Wang Kaikuo, Wang Qi, Cao Yiming, Zhao Ran, Zhang Yan, Li Jiongtang

机构信息

National Demonstration Center for Experimental Fisheries Science Education, Shanghai Ocean University, Shanghai 201306, China.

Key Laboratory of Aquatic Genomics, Ministry of Agriculture and Rural Affairs, Beijing Key Laboratory of Fishery Biotechnology, Chinese Academy of Fishery Sciences, Beijing 100141, China.

出版信息

Animals (Basel). 2025 May 6;15(9):1335. doi: 10.3390/ani15091335.

Abstract

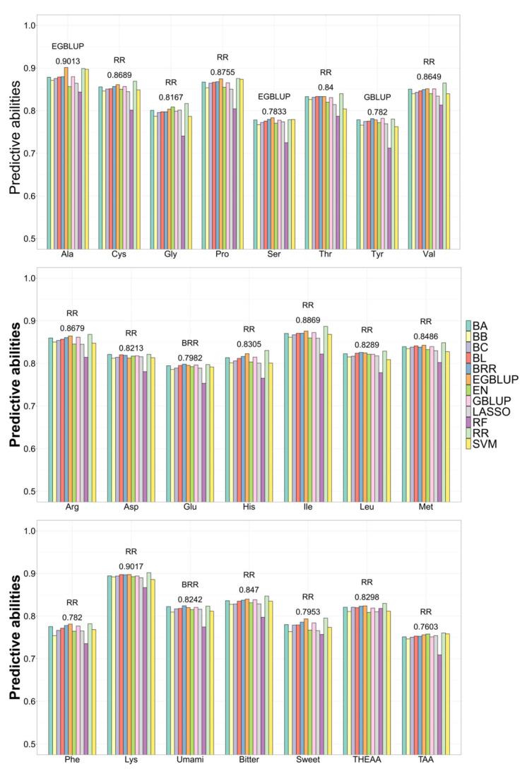
Fish are rich sources of amino acids (AAs), particularly human essential amino acids (HEAAs). Exploring the regulatory mechanisms behind the changes in the combined AA content in the fillet and enhancing the content of AAs, especially HEAAs, in fillets of farmed fish is crucial for meeting human nutritional needs. After hot acidic hydrolysis of 304 common carp fillets, we quantified the contents of 17 single AAs and 5 AA groups and observed significant variations among them. Except for Pro, 16 single AAs and all AA groups showed medium-to-high heritabilities over 0.2. Through a genome-wide association study (GWAS), we identified 1974 SNPs and candidate genes associated with at least one AA content. Using transcriptome data from groups with the highest and lowest contents for each AA, 7089 candidate genes were related to the concentrations of at least two AAs. For the total HEAA content, 121 SNPs and their associated genes preferred ATPase-coupled transmembrane transporter activity, and 4727 differentially expressed genes were enriched in cytokine activity, chemokine activity, oxidoreductase activity, and ion binding. With the optimal genomic selection programs and associated SNPs, the correlation between the actual AA contents and estimated breeding values was high and positive, ranging from 0.76 to 0.90. These findings revealed the major-effect processes and regulatory mechanisms modulating the differences in fillet AA contents. The genomic selection programs will guide the future selection of common carp with high AA contents.

摘要

鱼类是氨基酸(AAs)的丰富来源,尤其是人体必需氨基酸(HEAAs)。探索鱼片联合氨基酸含量变化背后的调控机制,并提高养殖鱼类鱼片的氨基酸含量,特别是人体必需氨基酸的含量,对于满足人类营养需求至关重要。对304条鲤鱼鱼片进行热酸水解后,我们对17种单一氨基酸和5个氨基酸组的含量进行了量化,并观察到它们之间存在显著差异。除脯氨酸外,16种单一氨基酸和所有氨基酸组均表现出中等至高的遗传力,超过0.2。通过全基因组关联研究(GWAS),我们鉴定出1974个与至少一种氨基酸含量相关的单核苷酸多态性(SNPs)和候选基因。利用每种氨基酸含量最高和最低组的转录组数据,7089个候选基因与至少两种氨基酸的浓度相关。对于总人体必需氨基酸含量,121个单核苷酸多态性及其相关基因表现出与ATP酶偶联的跨膜转运活性偏好,4727个差异表达基因在细胞因子活性、趋化因子活性、氧化还原酶活性和离子结合方面富集。通过最佳的基因组选择程序和相关的单核苷酸多态性,实际氨基酸含量与估计育种值之间的相关性高且为正,范围从0.76到0.90。这些发现揭示了调节鱼片氨基酸含量差异的主要作用过程和调控机制。基因组选择程序将指导未来高氨基酸含量鲤鱼的选育。

https://cdn.ncbi.nlm.nih.gov/pmc/blobs/9c42/12070895/83644481d18a/animals-15-01335-g001.jpg

文献AI研究员

20分钟写一篇综述,助力文献阅读效率提升50倍。

立即体验

用中文搜PubMed

大模型驱动的PubMed中文搜索引擎

马上搜索

文档翻译

学术文献翻译模型,支持多种主流文档格式。

立即体验