Suppr超能文献

源自肿瘤免疫相互作用机制模型的mRNA疫苗疗效生物标志物。

Biomarkers of mRNA vaccine efficacy derived from mechanistic modeling of tumor-immune interactions.

作者信息

Voutouri Chrysovalantis, Munn Lance L, Stylianopoulos Triantafyllos, Jain Rakesh K

机构信息

Cancer Biophysics Laboratory, Department of Mechanical and Manufacturing Engineering, University of Cyprus, Nicosia, Cyprus.

Edwin L Steele Laboratories, Department of Radiation Oncology, Massachusetts General Hospital and Harvard Medical School, Boston, Massachusetts, United States of America.

出版信息

PLoS Comput Biol. 2025 Jun 12;21(6):e1013163. doi: 10.1371/journal.pcbi.1013163. eCollection 2025 Jun.

Abstract

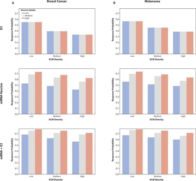
The success of mRNA vaccines against infectious diseases such as COVID-19 has opened new avenues for their application in oncology. In cancer immunotherapy, mRNA vaccines-typically encapsulated in lipid nanoparticles (LNPs) 100-200 nm in size-enable delivery of tumor-specific antigens to activate immune responses. Here, we investigated the efficacy of mRNA vaccines in cancer by modeling tumor-immune interactions and tumor microenvironment (TME) dynamics to identify predictive biomarkers. Using a mechanistic mathematical model, we simulated tumor growth, immune cell dynamics, and vaccine pharmacokinetics in virtual cohorts of 1,635 patients generated via Latin hypercube sampling. Our simulations demonstrated a 45% average tumor size reduction and a 60% increase in CD8 + T cell infiltration in responsive tumors. Multiple regression analyses validated the predictive power of both pre- and on-treatment biomarkers. Key predictors of vaccine efficacy included antigen-presenting cell (APC) density and cytotoxic T cell fraction. Specifically, an APC density above 500 cells/mm³ in lymph nodes correlated with a 55% increase in vaccine response rates, while a cytotoxic T cell fraction above 20% in tumors was associated with a 60% reduction in tumor volume. A reduced M2/M1 macrophage ratio further improved treatment outcomes by 50%, highlighting the role of reprograming immunosuppressive macrophages. TME characteristics significantly influenced vaccine efficacy. Low extracellular matrix (ECM) density-modeled as a 5-10 × increase in hydraulic conductivity-combined with medium cytokine levels (IL-2 and TNF-α at 10-50 pg/ml), created optimal conditions for immune activation. Under these conditions, vaccine uptake improved by 35% and cytotoxic T cell infiltration increased by 65%, resulting in up to a 50% improvement in therapeutic outcomes. Model predictions aligned with pre-clinical data from melanoma and breast cancer models. These findings provide a framework for optimizing mRNA vaccine strategies and advancing personalized cancer immunotherapy.

摘要

针对 COVID-19 等传染病的 mRNA 疫苗的成功,为其在肿瘤学中的应用开辟了新途径。在癌症免疫治疗中,mRNA 疫苗(通常封装在大小为 100 - 200 纳米的脂质纳米颗粒(LNP)中)能够递送肿瘤特异性抗原以激活免疫反应。在此,我们通过模拟肿瘤 - 免疫相互作用和肿瘤微环境(TME)动态来研究 mRNA 疫苗在癌症中的疗效,以识别预测性生物标志物。使用一个机械数学模型,我们在通过拉丁超立方抽样生成的 1635 名患者的虚拟队列中模拟了肿瘤生长、免疫细胞动态和疫苗药代动力学。我们的模拟显示,在有反应的肿瘤中,平均肿瘤大小减少了 45%,CD8 + T 细胞浸润增加了 60%。多元回归分析验证了治疗前和治疗中生物标志物的预测能力。疫苗疗效的关键预测指标包括抗原呈递细胞(APC)密度和细胞毒性 T 细胞分数。具体而言,淋巴结中 APC 密度高于 500 个细胞/mm³与疫苗反应率增加 55%相关,而肿瘤中细胞毒性 T 细胞分数高于 20%与肿瘤体积减少 60%相关。降低的 M2/M1 巨噬细胞比率进一步使治疗效果提高了 50%,突出了重编程免疫抑制巨噬细胞的作用。TME 特征显著影响疫苗疗效。低细胞外基质(ECM)密度(模拟为水力传导率增加 5 - 10 倍)与中等细胞因子水平(IL - 2 和 TNF -α为 10 - 50 pg/ml)相结合,为免疫激活创造了最佳条件。在这些条件下,疫苗摄取提高了 35%,细胞毒性 T 细胞浸润增加了 65%,治疗效果提高了多达 50%。模型预测与来自黑色素瘤和乳腺癌模型的临床前数据一致。这些发现为优化 mRNA 疫苗策略和推进个性化癌症免疫治疗提供了一个框架。

https://cdn.ncbi.nlm.nih.gov/pmc/blobs/7f84/12201673/6e223e7f0235/pcbi.1013163.g001.jpg

文献AI研究员

20分钟写一篇综述,助力文献阅读效率提升50倍。

立即体验

用中文搜PubMed

大模型驱动的PubMed中文搜索引擎

马上搜索

文档翻译

学术文献翻译模型,支持多种主流文档格式。

立即体验