Suppr超能文献

基于机器学习的预测列线图用于筛查幼年特发性关节炎儿童的开发:对美国223,195名儿童的伪纵向研究

Development of a machine learning-based predictive nomogram for screening children with juvenile idiopathic arthritis: a pseudo-longitudinal study of 223,195 children in the United States.

作者信息

Lee Yu-Sheng, Gor Kira, Sprong Matthew Evan, Shrestha Junu, Huang Xueli, Hollender Heaven

机构信息

School of Integrated Sciences, Sustainability, and Public Health, College of Health, Science, and Technology, University of Illinois Springfield, Springfield, IL, United States.

Department of Addictions Studies and Behavioral Health, College of Health and Human Services, Governors State University, University Park, IL, United States.

出版信息

Front Public Health. 2025 May 29;13:1531764. doi: 10.3389/fpubh.2025.1531764. eCollection 2025.

Abstract

BACKGROUND

Juvenile idiopathic arthritis (JIA) is a prevalent chronic rheumatological condition in children, with reported prevalence ranging from 12. 8 to 45 per 100,000 and incidence rates from 7.8 to 8.3 per 100,000 person-years. The diagnosis of JIA can be challenging due to its symptoms, such as joint pain and swelling, which can be similar to other conditions (e.g., joint pain can be associated with growth in children and adolescents).

METHODS

The National Survey of Children's Health (NSCH) database (2016-2021) of the United States was used in the current study. The NSCH database is funded by the Health Resources and Services Administration and Child Health Bureau and surveyed in all 50 states plus the District of Columbia. A total of 223,195 children aged 0 to 17 were analyzed in this study. A least absolute shrinkage and selection operator (LASSO) logistic regression and stepwise logistic regression were used to select the predictors, which were used to create the nomograms to predict JIA.

RESULTS

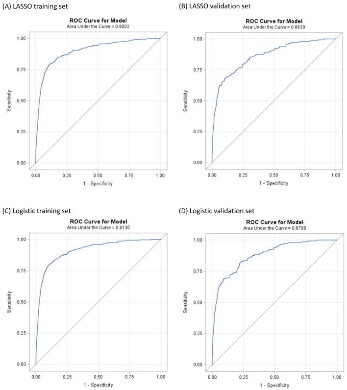
A total of 555 (248.7 per 100,000) JIA cases were reported in the NSCH. In the LASSO model, the receiver operating characteristic curve demonstrated excellent discrimination, with an area under the curve (AUC) of 0.9002 in the training set and 0.8639 in the validation set. Of the 16 variables selected by LASSO, 13 overlapped with those from the stepwise model. The regression achieved an AUC of 0.9130 in the training set and 0.8798 in the validation set. Sensitivity, specificity, and accuracy were 79.1%, 90.2%, and 90.2% in the training set, and 69.0%, 90.9%, and 90.8% in the validation set.

DISCUSSION

Using two well-validated predictor models, we developed nomograms for the early prediction of JIA in children based on the NSCH database. The tools are also available for parents and health professionals to utilize these nomograms. Our easy-to-use nomograms are not intended to replace the standard diagnostic methods. Still, they are designed to assist parents, clinicians, and researchers in better-estimating children's potential risk of JIA. We advise individuals utilizing our nomogram model to be mindful of potential pre-existing selection biases that may affect referrals and diagnoses.

摘要

背景

幼年特发性关节炎(JIA)是儿童中一种常见的慢性风湿性疾病,报告的患病率为每10万人中有12.8至45例,发病率为每10万人年中有7.8至8.3例。JIA的诊断具有挑战性,因为其症状,如关节疼痛和肿胀,可能与其他病症相似(例如,儿童和青少年的关节疼痛可能与生长有关)。

方法

本研究使用了美国国家儿童健康调查(NSCH)数据库(2016 - 2021年)。NSCH数据库由卫生资源和服务管理局及儿童健康局资助,在美国50个州及哥伦比亚特区进行了调查。本研究共分析了223,195名0至17岁的儿童。使用最小绝对收缩和选择算子(LASSO)逻辑回归和逐步逻辑回归来选择预测因子,这些预测因子用于创建预测JIA的列线图。

结果

NSCH中报告了555例(每10万人中有248.7例)JIA病例。在LASSO模型中,受试者工作特征曲线显示出良好的区分度,训练集的曲线下面积(AUC)为0.9002,验证集为0.8639。在LASSO选择的16个变量中,有13个与逐步模型中的变量重叠。该回归在训练集的AUC为0.9130,在验证集为0.8798。训练集的敏感性、特异性和准确性分别为79.1%、90.2%和90.2%,验证集分别为69.0%、90.9%和90.8%。

讨论

我们基于NSCH数据库,使用两种经过充分验证的预测模型,开发了用于早期预测儿童JIA的列线图。这些工具也可供家长和卫生专业人员使用这些列线图。我们易于使用的列线图并非旨在取代标准诊断方法,而是旨在帮助家长、临床医生和研究人员更好地估计儿童患JIA的潜在风险。我们建议使用我们列线图模型的个人注意可能存在的预先选择偏差,这些偏差可能会影响转诊和诊断。

https://cdn.ncbi.nlm.nih.gov/pmc/blobs/fda2/12158982/8d5fdf064b66/fpubh-13-1531764-g0001.jpg

文献AI研究员

20分钟写一篇综述,助力文献阅读效率提升50倍。

立即体验

用中文搜PubMed

大模型驱动的PubMed中文搜索引擎

马上搜索

文档翻译

学术文献翻译模型,支持多种主流文档格式。

立即体验