Suppr超能文献

无麸质饮食与IgA肾病的关系:综述

The relationship between gluten-free diet and IgA nephropathy: A review.

作者信息

Pei Tianqi, Guo Dengzhou

机构信息

Graduate School, Hebei University of Chinese Medicine, Shijiazhuang, China.

Hebei Provincial Hospital of Traditional Chinese Medicine, Shijiazhuang, China.

出版信息

Medicine (Baltimore). 2025 Jun 13;104(24):e41964. doi: 10.1097/MD.0000000000041964.

Abstract

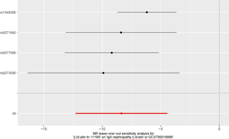
The aim is to explore the causal relationship between gluten-free diet and IgA nephropathy by conducting Mendelian randomization (MR) analysis and briefly summarizing the current research on gluten-free diet and IgA nephropathy to provide new insights for the prevention and treatment of IgA nephropathy. The 64,949 samples of gluten-free diet and 477,784 samples of IgA nephropathy were obtained from the genome-wide association study. Four genetic variants strongly associated with a gluten-free diet were extracted as instrumental variables. Two-sample MR analysis was performed by multiplicative random-effects inverse variance weighted, MR-Egger regression, weighted median, weighted mode, simple median, maximum likelihood ratio, and penalized weighted median as analysis models, respectively. Odds ratio values were used to evaluate the causal relationship between gluten-free diet and IgA nephropathy. The sensitivity analysis was carried out by the Cochran Q test, MR-Pleiotropy RESidual Sum and Outlier test, MR-Egger intercept test, and leave-one-out analysis to assess the robustness of the results. Multiplicative random-effects inverse variance weighted analysis showed a significant negative correlation between gluten-free diet and IgA nephropathy (odds ratio = 2.333 × 10-4, 95% confidence interval = 4.628 × 10-6~1.176 × 10-2, P = 2.899 × 10-5). In conclusion, there might be a negative causal relationship between gluten-free diet and IgA nephropathy, which could potentially reduce the risk of IgA nephropathy.

摘要

目的是通过进行孟德尔随机化(MR)分析来探索无麸质饮食与IgA肾病之间的因果关系,并简要总结当前关于无麸质饮食与IgA肾病的研究,为IgA肾病的预防和治疗提供新的见解。无麸质饮食的64949个样本和IgA肾病的477784个样本来自全基因组关联研究。提取了与无麸质饮食密切相关的4个基因变异作为工具变量。分别采用乘性随机效应逆方差加权法、MR-Egger回归法、加权中位数法、加权众数法、简单中位数法、最大似然比法和惩罚加权中位数法作为分析模型进行两样本MR分析。采用比值比来评估无麸质饮食与IgA肾病之间的因果关系。通过Cochran Q检验、MR多效性残差和离群值检验、MR-Egger截距检验和留一法分析进行敏感性分析,以评估结果的稳健性。乘性随机效应逆方差加权分析显示无麸质饮食与IgA肾病之间存在显著负相关(比值比 = 2.333×10-4,95%置信区间 = 4.628×10-6~1.176×10-2,P = 2.899×10-5)。总之,无麸质饮食与IgA肾病之间可能存在负因果关系,这可能会降低IgA肾病的风险。

https://cdn.ncbi.nlm.nih.gov/pmc/blobs/16be/12173310/c16141de1b64/medi-104-e41964-g001.jpg

文献AI研究员

20分钟写一篇综述,助力文献阅读效率提升50倍。

立即体验

用中文搜PubMed

大模型驱动的PubMed中文搜索引擎

马上搜索

文档翻译

学术文献翻译模型,支持多种主流文档格式。

立即体验