Suppr超能文献

基于结构的酪氨酸酶抑制剂设计与评估:针对人类和蘑菇同工酶

Structure-based design and evaluation of tyrosinase inhibitors targeting both human and mushroom isozymes.

作者信息

Mirabile Salvatore, Pitasi Giovanna, Floris Sonia, Schira Kristina, Khettabi Lyna, Soler-Lopez Montserrat, Scheuermann Jörg, Gitto Rosaria, Germanò Maria Paola, Fais Antonella, De Luca Laura

机构信息

Department of Chemical, Biological, Pharmaceutical, and Environmental Sciences, University of Messina Viale F. Stagno D'Alcontres 31 I-98166 Messina Italy

Department of Live and Environmental Sciences, University of Cagliari Cittadella Universitaria, SS 554, Km 4.5 09042 Monserrato Italy.

出版信息

RSC Med Chem. 2025 Jun 23. doi: 10.1039/d5md00357a.

Abstract

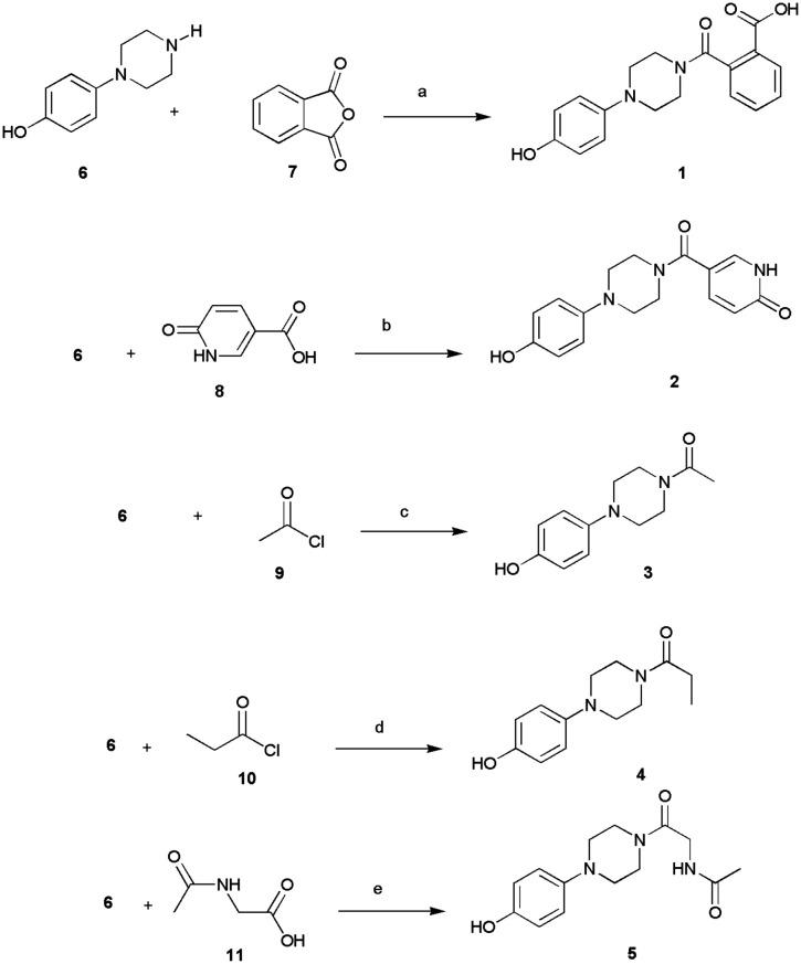
Tyrosinase inhibition represents an attractive challenge to fight skin hyperpigmentation for medicinal and cosmeceutical application. We have previously provided insights for the development of novel compounds with a specific shape and functional groups interacting with tyrosinases from distinct sources. We chose to employ the tyrosinase (AbTYR) isoform as a cost-effective and rapid screening method prior to carrying out the assay toward human tyrosinase (hTYR). Through this approach, the inhibitor 4-(4-hydroxyphenyl)piperazin-1-ylmethanone (MehT-3) has been identified as an effective inhibitor against both TYRs with potency comparable to that of the marketed inhibitor Thiamidol. Continuing our efforts, in this work we designed a focused small series of MehT-3 derivatives that were predicted for their ability to occupy the cavity of AbTYR and hTYR; subsequently, we proceeded with the execution of a very simple and efficient synthetic procedure to obtain the designed compounds. As a result, we obtained potent AbTYR and hTYR inhibitors with affinity values ranging from 5.3 to 40.7 μM. Notably, compounds 2 and 3 emerged as the most promising candidates; they exhibited superior activity against hTYR and demonstrated low toxicity as effective antioxidant agents and sunscreen products. Overall, these achievements further strengthened our computational protocol, which could be effectively applied to develop newer tyrosinase inhibitors.

摘要

酪氨酸酶抑制作用是用于医学和化妆品应用中对抗皮肤色素沉着的一个有吸引力的挑战。我们之前已经为开发具有特定形状和官能团的新型化合物提供了见解,这些化合物可与来自不同来源的酪氨酸酶相互作用。在对人酪氨酸酶(hTYR)进行检测之前,我们选择使用酪氨酸酶(AbTYR)同工型作为一种经济高效且快速的筛选方法。通过这种方法,抑制剂4-(4-羟基苯基)哌嗪-1-基甲酮(MehT-3)已被鉴定为对两种酪氨酸酶均有效的抑制剂,其效力与市售抑制剂噻咪啶相当。继续我们的工作,在这项研究中,我们设计了一小系列聚焦的MehT-3衍生物,并预测了它们占据AbTYR和hTYR腔的能力;随后,我们着手执行一种非常简单有效的合成程序来获得设计的化合物。结果,我们获得了有效的AbTYR和hTYR抑制剂,其亲和力值范围为5.3至40.7μM。值得注意的是,化合物2和3成为最有前景的候选物;它们对hTYR表现出卓越的活性,并作为有效的抗氧化剂和防晒产品显示出低毒性。总体而言,这些成果进一步加强了我们的计算方案,该方案可有效地应用于开发更新的酪氨酸酶抑制剂。

https://cdn.ncbi.nlm.nih.gov/pmc/blobs/3601/12377237/ababaf983248/d5md00357a-f1.jpg

文献AI研究员

20分钟写一篇综述,助力文献阅读效率提升50倍。

立即体验

用中文搜PubMed

大模型驱动的PubMed中文搜索引擎

马上搜索

文档翻译

学术文献翻译模型,支持多种主流文档格式。

立即体验