Suppr超能文献

镁摄入量与肾功能下降、新发慢性肾脏病及新发心血管疾病之间的关系。

Relationship between magnesium intake and decline in kidney function, incident chronic kidney disease and incident cardiovascular disease.

作者信息

Neyra Javier A, Katz Ronit, Kritchevsky Stephen, Ix Joachim H, Shlipak Michael G, Newman Anne B, Hoofnagle Andrew N, Fried Linda F, Toto Robert D, Moe Orson W, Sarnak Mark J, Gutiérrez Orlando M, Drew David A

机构信息

Division of Nephrology, University of Alabama at Birmingham, Birmingham, AL, USA.

University of Texas Southwestern Medical Center, Department of Internal Medicine and the Charles and Jane Pak Center for Mineral Metabolism and Clinical Research, Dallas, TX, USA.

出版信息

Clin Kidney J. 2025 May 13;18(6):sfaf144. doi: 10.1093/ckj/sfaf144. eCollection 2025 Jun.

Abstract

BACKGROUND AND HYPOTHESIS

Higher magnesium (Mg) intake is associated with a lower risk of stroke, heart failure and mortality, while there are limited data with kidney disease outcomes. We hypothesized that higher dietary Mg intake would be associated with a lower incidence of cardiovascular disease (CVD), chronic kidney disease (CKD) and kidney function decline.

METHODS

The Health, Aging, and Body Composition Study is an observational cohort of 3075 community-dwelling older adults. Dietary Mg intake was estimated using validated dietary surveys. Kidney outcomes included ≥30% decline in estimated glomerular filtration rate (eGFR) cystatin or incident CKD, which was defined as a subsequent eGFR <60 mL/min/1.73 m and at least 1 mL/min/year decline from baseline. Incident CVD was defined as incident coronary disease, heart failure, stroke or cardiovascular mortality. Multivariable Poisson regression and Cox proportional hazards models were used to evaluate the association of Mg intake with kidney and cardiovascular outcomes, respectively.

RESULTS

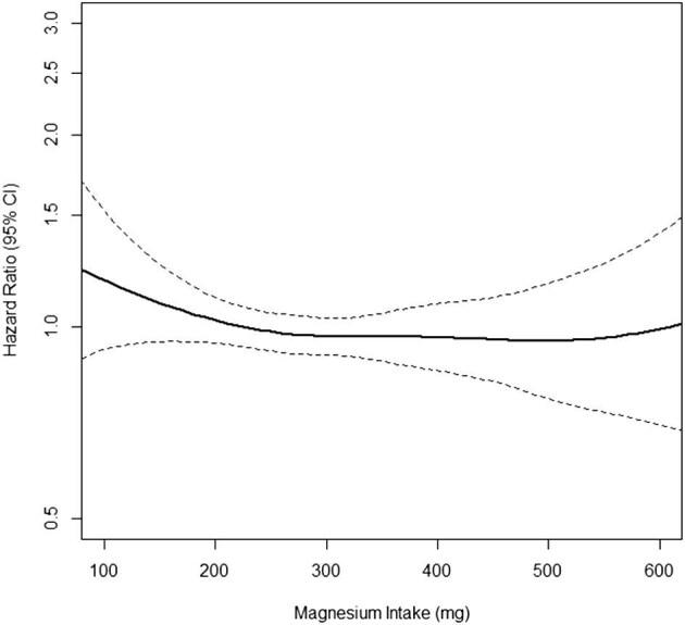
After excluding missing data, 2682 individuals were available for analysis. The median daily dietary Mg intake was 278 mg/day (11.4 mmol/day) (25th-75th percentile: 214-350 mg/day). Among 1871 individuals without baseline CKD, 522 developed incident CKD, while within the whole cohort, 394 (14.7%) had a ≥30% decline in eGFR over 10 years. Higher Mg intake was independently associated with lower risk of 30% eGFR decline [incidence rate ratio (IRR) per standard deviation (SD) higher Mg intake = 0.79 (95% confidence interval 0.66, 0.93)] and with a lower risk of incident CKD [IRR per SD higher Mg intake = 0.84 (95% confidence interval 0.73, 0.96)]. Among 1968 individuals without baseline CVD, 634 developed incident CVD. There was no association between Mg intake and overall incident CVD [adjusted hazard ratio 0.98 (95% confidence interval 0.85, 1.13)].

CONCLUSIONS

Higher Mg intake was associated with a lower risk of 30% decline in eGFR and incident CKD but not with incident CVD in a large cohort of older adults. The impact of Mg supplementation on kidney outcomes warrants further investigation.

摘要

背景与假设

较高的镁(Mg)摄入量与较低的中风、心力衰竭风险及死亡率相关,而关于肾脏疾病结局的数据有限。我们假设较高的膳食镁摄入量与较低的心血管疾病(CVD)、慢性肾脏病(CKD)发病率及肾功能下降相关。

方法

健康、衰老与身体成分研究是一项针对3075名社区居住老年人的观察性队列研究。膳食镁摄入量通过经过验证的膳食调查进行估算。肾脏结局包括估算肾小球滤过率(eGFR)胱抑素下降≥30%或新发CKD,新发CKD定义为随后eGFR<60 mL/min/1.73 m²且自基线至少每年下降1 mL/min。新发CVD定义为新发冠心病、心力衰竭、中风或心血管死亡。分别使用多变量泊松回归和Cox比例风险模型评估镁摄入量与肾脏及心血管结局之间的关联。

结果

排除缺失数据后,有2682名个体可供分析。每日膳食镁摄入量中位数为278 mg/天(11.4 mmol/天)(第25 - 75百分位数:214 - 350 mg/天)。在1871名无基线CKD的个体中,522人发生了新发CKD,而在整个队列中,394人(14.7%)在10年内eGFR下降≥30%。较高的镁摄入量与30%的eGFR下降风险较低独立相关[每标准差(SD)较高镁摄入量的发病率比(IRR)=0.79(95%置信区间0.66,0.93)]以及与新发CKD风险较低相关[每SD较高镁摄入量的IRR =0.84(95%置信区间0.73,0.96)]。在1968名无基线CVD的个体中,634人发生了新发CVD。镁摄入量与总体新发CVD之间无关联[调整后风险比0.98(95%置信区间0.85,1.13)]。

结论

在一大群老年人中,较高的镁摄入量与eGFR下降30%及新发CKD风险较低相关,但与新发CVD无关。补充镁对肾脏结局的影响值得进一步研究。

https://cdn.ncbi.nlm.nih.gov/pmc/blobs/ba53/12188191/623b38faab72/sfaf144fig1.jpg

文献AI研究员

20分钟写一篇综述,助力文献阅读效率提升50倍。

立即体验

用中文搜PubMed

大模型驱动的PubMed中文搜索引擎

马上搜索

文档翻译

学术文献翻译模型,支持多种主流文档格式。

立即体验