Suppr超能文献

以HEK - 293和COS - 7细胞系对氧化应激的抗性作为代谢反应模型。

Resistance of HEK-293 and COS-7 cell lines to oxidative stress as a model of metabolic response.

作者信息

Sapeta-Nowińska Monika, Sołtys Katarzyna, Gębczak Katarzyna, Barg Ewa, Młynarz Piotr

机构信息

Department of Biochemistry, Molecular Biology and Biotechnology, Faculty of Chemistry, Wrocław University of Science and Technology, Wrocław, Poland.

Department of Basic Medical Science, Wrocław Medical University, Wrocław, Poland.

出版信息

Acta Biochim Pol. 2025 Jun 12;72:14164. doi: 10.3389/abp.2025.14164. eCollection 2025.

Abstract

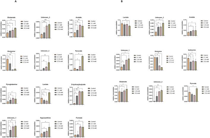
Oxidative stress (OS), arising from an imbalance between reactive oxygen species (ROS) production and antioxidant defenses, plays a pivotal role in cellular dysfunction and the pathogenesis of numerous diseases. This study evaluates the impact of oxidative stress induced by hydrogen peroxide on the metabolomic profiles of the human embryonic kidney (HEK-293) and African green monkey kidney (COS-7) cell lines. Viability (MTT) and free radical accumulation (DCF-DA) assays confirmed a dose-dependent cytotoxic effect of hydrogen peroxide, with COS-7 cells exhibiting greater resistance and producing lower levels of intracellular ROS compared to HEK-293. Metabolomic profiling was conducted using nuclear magnetic resonance spectroscopy (H NMR) to identify and quantify metabolic changes. Exposure to a free radical inducer significantly altered both intracellular and extracellular metabolites compared to control HO-free samples. The analysis revealed common changes in intracellular metabolites between the two lines, including glutamate, NAD, glutathione, ATP/ADP, AMP, and pyruvate - key molecule for mitochondrial function, as well as extracellular metabolites such as glutamate, glutamine, acetate, lactate, and pyruvate. Metabolomic differences observed in COS-7 cells suggest a potentially greater capacity for metabolic adaptation to oxidative stress. These included elevated levels of branched-chain amino acids (BCAA), supporting energy production, and increased formate production, which may aid purine synthesis and cellular resilience. These findings highlight the distinct metabolic adaptations of COS-7 cells to oxidative stress in comparison to the HEK-293 cell line. They also provide insights into the direct cellular responses to altered redox potential, offering possible therapeutic strategies aimed at targeting metabolic pathways to mitigate oxidative stress.

摘要

氧化应激(OS)源于活性氧(ROS)生成与抗氧化防御之间的失衡,在细胞功能障碍和众多疾病的发病机制中起关键作用。本研究评估了过氧化氢诱导的氧化应激对人胚肾(HEK - 293)和非洲绿猴肾(COS - 7)细胞系代谢组学谱的影响。活力(MTT)和自由基积累(DCF - DA)测定证实了过氧化氢的剂量依赖性细胞毒性作用,与HEK - 293相比,COS - 7细胞表现出更大的抗性且产生较低水平的细胞内ROS。使用核磁共振波谱(H NMR)进行代谢组学分析以识别和量化代谢变化。与无过氧化氢的对照样品相比,暴露于自由基诱导剂显著改变了细胞内和细胞外代谢物。分析揭示了两条细胞系细胞内代谢物的共同变化,包括谷氨酸、NAD、谷胱甘肽、ATP/ADP、AMP和丙酮酸(线粒体功能的关键分子),以及细胞外代谢物如谷氨酸、谷氨酰胺、乙酸盐、乳酸盐和丙酮酸。在COS - 7细胞中观察到的代谢组学差异表明其对氧化应激具有潜在更强的代谢适应能力。这些差异包括支链氨基酸(BCAA)水平升高以支持能量产生,以及甲酸盐产量增加,这可能有助于嘌呤合成和细胞恢复力。这些发现突出了COS - 7细胞与HEK - 293细胞系相比对氧化应激的独特代谢适应性。它们还提供了对细胞对氧化还原电位改变的直接反应的见解,为旨在靶向代谢途径以减轻氧化应激的可能治疗策略提供了依据。

https://cdn.ncbi.nlm.nih.gov/pmc/blobs/4f83/12198024/5e8095b948b4/abp-72-14164-g001.jpg

文献AI研究员

20分钟写一篇综述,助力文献阅读效率提升50倍。

立即体验

用中文搜PubMed

大模型驱动的PubMed中文搜索引擎

马上搜索

文档翻译

学术文献翻译模型,支持多种主流文档格式。

立即体验