Suppr超能文献

新冠后神经状态下注意力表现测试的有效性

Validity of the test for attentional performance in neurological post-COVID condition.

作者信息

Seibert Susan, Eckert Irina, Widmann Catherine N, Ebrahimi Taraneh, Bösl Fabian, Franke Christiana, Prüss Harald, Schultze Joachim L, Petzold Gabor C, Shirvani Omid

机构信息

Center for Neurology, University of Bonn Medical Center, Bonn, Germany.

German Center for Neurodegenerative Diseases (DZNE), Venusberg-Campus 1, C99, 53127, Bonn, Germany.

出版信息

Sci Rep. 2025 Jul 7;15(1):24208. doi: 10.1038/s41598-025-09128-2.

Abstract

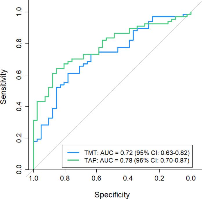
Neurological post-COVID condition (PCC) often involves attentional deficits that impact daily functioning. Traditional paper-based tests, like the Trail-Making Test (TMT), may inadequately capture these impairments due to their short duration and dependence on numerical and alphabetic sequencing. This study evaluates the validity of three subtests of the computerized Test for Attentional Performance (TAP) as alternatives for detecting attentional impairments in PCC. In the ongoing NEURO LC-19 DE study, 108 subjects aged 18 to 79 years, with PCC-related cognitive complaints (n = 67, 73% f) and healthy controls (n = 41, 56% f) underwent neuropsychological testing. The prevalence of impairment and classification ability of the TAP subtests were evaluated alongside standard paper-based tests, including the TMT and Montreal Cognitive Assessment, using receiver operating characteristic (ROC) analysis and regression. The TAP subtests identified significant impairments in sustained attention and processing speed in one-third of PCC patients, surpassing traditional tests in sensitivity, and classifying PCC with an AUC of 78%. Omissions in sustained attention significantly differentiated groups (OR = 1.14, p = 0.016, 95% CI [1.02-1.26]). Fatigue correlated with poorer performance on speed and accuracy (r > 0.30, p < 0.05). Cognitive slowing is prevalent in neurological PCC but is scarcely captured by conventional assessments. The TAP's computerized format with automated norming and independence from alphanumeric stimuli shows promise in improving the discriminatory ability for identifying attentional deficits in PCC patients.

摘要

新冠后神经综合征(PCC)常伴有注意力缺陷,影响日常功能。传统的纸质测试,如连线测验(TMT),由于其测试时间短且依赖数字和字母排序,可能无法充分捕捉这些损伤。本研究评估了计算机化注意力表现测试(TAP)的三个子测试作为检测PCC注意力损伤替代方法的有效性。在正在进行的NEURO LC - 19 DE研究中,108名年龄在18至79岁之间、有PCC相关认知主诉的受试者(n = 67,女性占73%)和健康对照者(n = 41,女性占56%)接受了神经心理学测试。使用受试者工作特征(ROC)分析和回归,将TAP子测试的损伤患病率和分类能力与包括TMT和蒙特利尔认知评估在内的标准纸质测试进行了比较评估。TAP子测试在三分之一的PCC患者中发现了持续注意力和处理速度方面的显著损伤,在敏感性方面超过了传统测试,分类PCC的曲线下面积(AUC)为78%。持续注意力方面的遗漏显著区分了不同组(比值比 = 1.14,p = 0.016,95%置信区间[1.02 - 1.26])。疲劳与速度和准确性方面较差的表现相关(r > 0.30,p < 0.05)。认知减慢在神经PCC中很普遍,但传统评估几乎无法捕捉到。TAP的计算机化形式具有自动标准化且不受字母数字刺激影响的特点,在提高识别PCC患者注意力缺陷的鉴别能力方面显示出前景。

https://cdn.ncbi.nlm.nih.gov/pmc/blobs/8789/12234741/3174b54d983c/41598_2025_9128_Fig1_HTML.jpg

文献AI研究员

20分钟写一篇综述,助力文献阅读效率提升50倍。

立即体验

用中文搜PubMed

大模型驱动的PubMed中文搜索引擎

马上搜索

文档翻译

学术文献翻译模型,支持多种主流文档格式。

立即体验