Suppr超能文献

持续性活跃的新冠病毒感染中的呼吸道微生物群改变、合并感染及病毒宿主内进化

Respiratory microbiome alterations, coinfections and virus intra-host evolution in a persistently active SARS-CoV-2 infection.

作者信息

Boltežar Lučka, Kogoj Rok, Resman Rus Katarina, Suljič Alen, Bosilj Martin, Knap Nataša, Mali Polonca, Tomažič Janez, Avšič-Županc Tatjana, Korva Misa

机构信息

Institute of Oncology Ljubljana, Ljubljana, Slovenia.

Faculty of Medicine, University of Ljubljana, Ljubljana, Slovenia.

出版信息

BMC Infect Dis. 2025 Jul 21;25(1):932. doi: 10.1186/s12879-025-11355-x.

Abstract

BACKGROUND

Respiratory microbiome alterations, coinfections, and virus intrahost evolution are of great interest in persistently viable SARS-CoV-2 infections in the context of antiviral treatment and immune response. However, samples before, during, and after infection are seldom available to researchers. Therefore, there has been a significant lack of opportunities to comprehensively study microbiota homeostasis, coinfections, and virus intra-host evolution on the consensus and minor variants scale in response to antiviral treatments and patient immune response.

CASE PRESENTATION

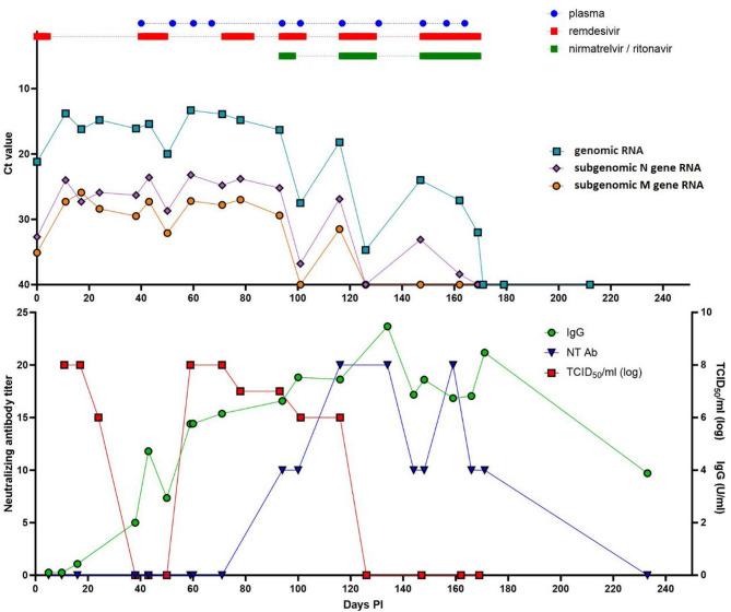
A 63-year-old female patient with diffuse large B-cell lymphoma received multiple treatments for SARS-CoV-2 that remained active 169 days. Together, 32 respiratory and 19 serum samples were collected before, during, and after (- 398 to 233 days) COVID-19. Subsets were selected for virus viability testing by culture (20) and subgenomic (sg) RNA (20) measurement, intra-host evolution assessment (18), microbiome composition analysis (28), and coinfection identification (11). IgA/IgG and neutralizing anti-SARS-CoV-2 antibodies were measured 19 times throughout the infection. SARSCoV-2 lineage XBB.1.16.11 persisted and remained viable until 116 days post infection (PI) regardless of treatments. No sgRNA marker tested was suitable for virus viability prediction. IgG/IgA antibodies first appeared after 38 days, but the virus persisted regardless of multiple plasma treatments before neutralizing antibodies appeared (100 days PI) and finally cleared the virus 116 days PI. Consensus-level mutations fluctuated around 102.7 ± 4.0, and minor variants increased from six to 61 with a mutation rate of 4.9 × 10 per site per year, with the highest average number of mutations per gene length in S and E (0.013) with surges after every antiviral treatment. The transversion/transition ratio increased from 0.50 (day 0) to 0.57 (day 24) with a steady decrease to 0.48 (day 147). Mutational signature analysis showed dominance of C > T substitutions consistent with APOBEC antiviral enzyme activity. Upper respiratory microbiota showed three distinct profiles with varying α-/β-diversity and an association of Staphylococcus spp. with COVID-19.

CONCLUSIONS

These findings further elucidate the dynamics of intra-host viral evolution and complexities of virus clearance in individuals with hematological malignancies and highlight the impact of antiviral treatments on the potential of virus variants emergence in longitudinally infectious patients due to delayed immune response.

摘要

背景

在抗病毒治疗和免疫反应的背景下,呼吸道微生物群改变、合并感染以及病毒在宿主体内的进化对于持续存活的严重急性呼吸综合征冠状病毒2(SARS-CoV-2)感染具有重要意义。然而,研究人员很少能获得感染前、感染期间和感染后的样本。因此,在抗病毒治疗和患者免疫反应的背景下,在共识和次要变体层面全面研究微生物群稳态、合并感染以及病毒在宿主体内的进化的机会严重不足。

病例报告

一名63岁的弥漫性大B细胞淋巴瘤女性患者接受了多种针对SARS-CoV-2的治疗,该病毒在169天内仍具有活性。在新型冠状病毒肺炎(COVID-19)期间及前后(-398至233天)共采集了32份呼吸道样本和19份血清样本。选择部分样本进行病毒活力检测(通过培养20份样本)、亚基因组(sg)RNA检测(20份样本)、宿主体内进化评估(18份样本)、微生物群组成分析(28份样本)以及合并感染鉴定(11份样本)。在整个感染过程中对IgA/IgG和中和抗SARS-CoV-2抗体进行了19次检测。无论采用何种治疗,SARS-CoV-病毒谱系XBB.1.16.11持续存在并在感染后116天内仍具有活性。所检测的sgRNA标记均不适用于病毒活力预测。IgG/IgA抗体在38天后首次出现,但在中和抗体出现前(感染后100天),尽管进行了多次血浆治疗,病毒仍持续存在,最终在感染后116天清除病毒。共识水平的突变在102.7±4.0左右波动,次要变体从6个增加到61个,每年每个位点的突变率为4.9×10,S和E基因每基因长度的平均突变数最高(0.013),每次抗病毒治疗后均有激增。颠换/转换比从0.50(第0天)增加到0.57(第24天),随后稳步下降至0.48(第147天)。突变特征分析显示与载脂蛋白B mRNA编辑酶催化多肽样3(APOBEC)抗病毒酶活性一致的C>T替换占主导。上呼吸道微生物群呈现出三种不同的特征,α/β多样性各异,葡萄球菌属与COVID-19存在关联。

结论

这些发现进一步阐明了血液系统恶性肿瘤患者宿主体内病毒进化的动态过程以及病毒清除的复杂性,并突出了抗病毒治疗对因免疫反应延迟导致的纵向感染患者中病毒变体出现可能性的影响。

https://cdn.ncbi.nlm.nih.gov/pmc/blobs/754b/12281699/615435c408f6/12879_2025_11355_Fig1_HTML.jpg

文献AI研究员

20分钟写一篇综述,助力文献阅读效率提升50倍。

立即体验

用中文搜PubMed

大模型驱动的PubMed中文搜索引擎

马上搜索

文档翻译

学术文献翻译模型,支持多种主流文档格式。

立即体验